4.1.2 相似约化和精确解
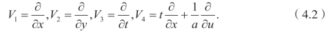
基于李对称方法,可以得到(4.1)相应的向量场为

下面就不同的情况进行讨论。
(Ⅰ)V1
对于算子 V1,有
![]()
这里g=y,h=t 是群不变量。将(4.3)代入(4.1),可以得到
![]()
需要注意的是,这个方程(4.4)正是著名的热传导方程。
(Ⅱ)V2
对于V2这种情况,产生了
![]()
这里r=x,h=t 是群不变量。将(4.5)代入(4.1),得到下面的偏微分方程
![]()
(Ⅲ)V3
对于向量场V3,可以得到
![]()
r=x,g=y 表示群不变量。将(4.7)代入(4.1),得到
![]()
(Ⅳ)V4
对于这种情况,可以得到

h=t,g=y 是群不变量。把(4.9)代入(4.1),得到
![]()
(Ⅴ)V1+V2
对于V1+V2产生下面的不变量
![]()
把 f 看成新的因变量,h和s作为新的自变量,则ZKB 方程(4.1)变成
![]()
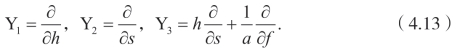
需要注意的是,上面的约化方程都是(1+1)-维的偏微分方程,然而对于一些偏微分方程,求解它们依然有一定的困难。为了将它们约化,再次利用李对称分析,为简便起见,仅考虑方程(4.12),可以得到

组合 Y1+λ Y2产生下面的情况
![]()
则可以得到下面的非线性常微分方程(https://www.daowen.com)
![]()
现在,为了得到该方程的解,假定(4.15)有下列形式的解

把(4.16)代入(4.15),有


当n=0时,可以得到

对于一般的情况n≥1,有

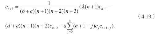
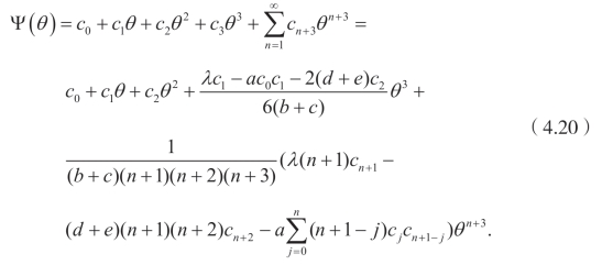
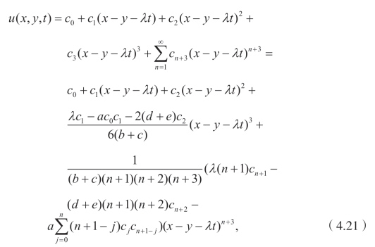
这样一来,可以得到如下形式的幂级数解

因此有

这里ci(i=0,1,2,3) 是任意常数,其他系数cn(n≥ 3) 也可类似推导出来。
为了寻找其他形式的解,利用黎卡提(Riccati)方程的解去构建原方程的解。黎卡提方程如下
![]()
这里 p,q,r 是实常数。其解如下

这里C1,C2是任意常数。再次利用齐次平衡原理,平衡方程(4.15)中最高阶导数项和非线性项,可以直接假设有下列形式的解
![]()
这里a0,a1,a2是待定常数。
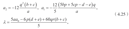
将(4.22)和(4.24)代入(4.15)中,令φ的独立项系数等于零,可以得到

其中 a0是任意常数。并且
![]()
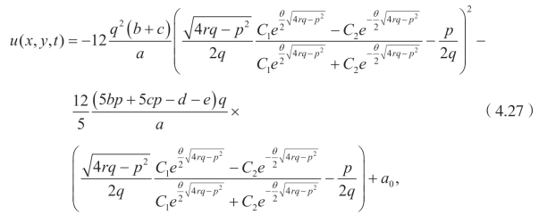
这样可以得到(4.1)的解如下

这里θ=x−y−λt,λ由(4.25)确定。
解(4.27)是方程ZKB(4.1)的一般解。其中包含了其他文献的结果,比如文献[102] 中利用“tanh method”得到的结果,选择C1=C2=1,p=0,
。也可以和文献[101]中的结果对比。
如果令 C1=1,C2=−1,p=0,4rq−p2>0,可以得到

或者令C1=1,C2=1和4 rq−p2>0,可以导出
