4.1.3 守恒律
2026年01月14日
4.1.3 守恒律
这一小节,利用伴随方程的方法去考虑ZKB 方程(4.1)的守恒律。并考虑其非线性自治性。
4.1.3.1 非线性自治性
对于ZKB 方程(4.1),伴随方程为
![]()
拉格朗日函数可以写成对称的形式
![]()
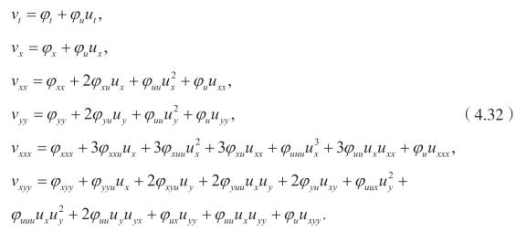
在方程(4.29)中,用u替代v后,得不到原方程,因此原方程不是自治的,我们寻找显式的 ϕ(x,u)≠0

令v=ϕ(t,x,y,u),可以得到

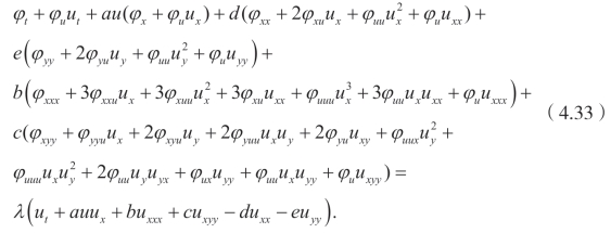
将(4.32)代入(4.31)中可以得到

对于ut的系数,可以得到
![]()
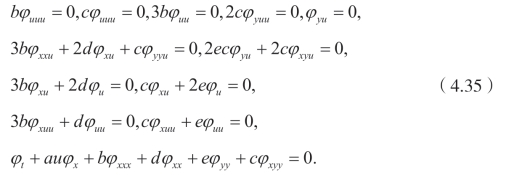
注意到 u 以及其他独立项的系数,有

解这些方程,可以得到

方程(4.35)有下面的特解
![]()
这里c1,c2和 c3 是常数。因此,有下面的定理
定理 4.1.1 如果 v=ϕ并且ϕ 由(4.36)或(4.37)确定,则ZKB 方程(4.1)是非线性自治的。
4.1.3.2 守恒律
现在利用伴随方程和对称去构建方程的守恒律,伴随方程是
![]()
并且拉格朗日方程是

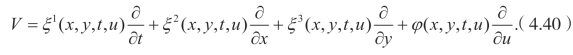
相应的向量场是
(https://www.daowen.com)
算子V 可以导出守恒律
![]()
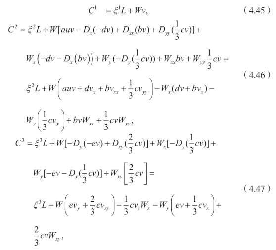
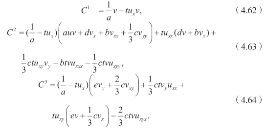
这里 C=(C1,C2,C3) 由下式确定


也就是说

这里
![]()
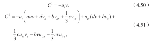
现在来计算守恒律。
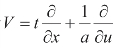
情况1.对于算子V=
,有
![]()
可以得到,


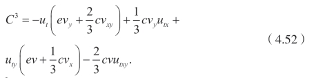
情况2.对于V=
,有
![]()
类似的可以得到,

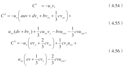
情况3.对于李代数V=
,有
![]()
可以产生

情况4.对于线性组合
,有
![]()
类似于上面的步骤,可以推出

显而易见,守恒向量涉及伴随方程的任意解,所以可以得到无穷守恒律。