第一讲 探求瞬时速度大师引入导数
有句古话,叫做“强弩之末势不能穿鲁缟”.字面上是说射出的箭尽管开始很有力,也就是很快,但后来速度会慢下来,到了射程之末连细绢也穿不透了.当然,这是由于空气阻力的作用.
其实,强弩之末速度到底如何,还要具体分析.如果从高高的城门楼上射下来,像三国演义里陈宫向曹操射的一箭,由于重力,箭会越来越快;如果从下向上“弯弓射大雕”,初速再大,也会越高越慢;到了最高处回头下落,又会越来越快.
总之,箭的运动速度时时刻刻在变化,这在物理上叫做非匀速运动.求非匀速运动物体每时每刻的速度,是物理学家关心的问题.
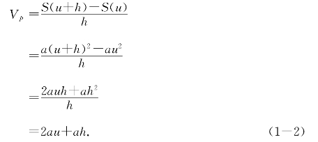
意大利物理学家伽利略(G.Galilei,1564—1642)研究了重力作用下物体的运动规律.他经过反复实验,总结出小球在光滑斜面上滚下的距离S和所用的时间t之间有函数关系S=S(t)=at2,这个式子叫做小球的运动方程.其中系数a和斜面坡度以及计量单位有关.
有了运动方程,在时间段[u,v]上小球滚过的距离很好算,就是S(v)-S(u)=av2-au2.滚过这段距离的时间是v-u,于是在时间区间[u,v]上小球的平均速度就是

知道了任意时间段上的平均速度,如何求任一时刻的速度,即所谓瞬时速度呢?
伽利略没能解决这个问题.他遭遇到了概念上的困难.
要算速度,就要知道物体在一段时间走过的距离.只看一个时刻,时间和走过的距离都等于0,通常的速度概念失去了意义!
英国科学家牛顿(IsaacNewton,1642—1727)设想,如果在(1-1)中让时刻v越来越接近u,即让时间区间缩小到非常非常接近于0,则右端的a(u+v)越来越接近2au.所以时刻t=u的瞬时速度应当是2au.
例如,自由落体开始下落t秒时经过的距离为
,即a=
,这里g=9.8(m/s2)是重力加速度,易算出下落3秒时其瞬时速度为29.4(m/s).这和物理学中按能量守恒定律算出来的结果一致.
为了强调要计算的是时刻t=u处的瞬时速度,记v-u=h,从而v=u+h,于是(1-1)成为

从上面的等式容易看出,不论h是正是负,当它无限接近于0时,平均速度Vp
就会无限接近于2au.因此,认为2au是时刻t=u的瞬时速度,直观上看是合理的.
能不能简单点,干脆在(1-2)中取h=0呢?仔细看看,不行!原来h在等式中还要充当分母,所以不能为0,只能接近于0.多么接近于0都可以,就是不能等于0.
“当h无限接近于0时,
就会无限接近于2au”这句话,用现代数学的极限符号表示,就是

这个式子读作“当h趋于0时,
的极限为2au”,或简单地说“当h趋于0时
趋于2au”.
牛顿这样得出的答案,数学上不够严谨,当时引起了怀疑和争论.
怀疑这个方法的人问:让h无限接近0,接近到什么程度呢?如果h≠0,就只能得到平均速度而非瞬时速度;如果h=0,以它为分母的分式就失去了意义!
在长达150多年间,数学家说不清极限概念,无法回答质疑.
尽管道理说不清,一大批出色的数学家仍然沿着牛顿的思路前进,解决了科学技术中提出的大量问题,取得了辉煌的成果.
直到19世纪20~70年代,经过柯西(A.L.Cauchy,1789—1851)、魏尔斯特拉斯(K.Weierstrass,1815—1897)、戴德金(R.Dedekind,1831—1916)、康托(G.Cantor,1845—1918)等一批卓越的数学家的工作,才建立了严谨的极限概念和理论,为微积分打下了坚实的数学基础.
运动方程S(t)是一般函数f(x)的特例.举一反三,把平均速度的表达式
里的路程S(v)和S(u)换成一般函数值f(v)和f(u),得到的比值
叫做f(x)在区间[u,v]上的“平均变化率”,这是我国近年来中学教材上的说法.按国内外数学书刊上通常的术语,这个比值叫做函数f(x)在u和v两点的“差商”(quotientofdifference).这个词不但简单,而且具体明确:它是两点处函数值的差除以自变量的差所得的商.有些书上差商也叫“增量比”,所谓增量就是差,比就是商.
在y=f(x)的曲线上取两点A(u,f(v))和B(v,f(v)),差商
就是直线AB的斜率,如图1-1.

图1-1 差商的几何意义
将牛顿关于瞬时速度的想法一般化,引出一个重要的定义.
定义1 设函数y=f(x)在包含点u的某个区间上有定义.如果在h趋于0的过程中差商
趋于一个确定的数A,这个数就叫做函数f(x)在点x=u处的微商或导数,记作f′(u)=A或y′|x=u=A,并且称f(x)在点x=u处可导;f′(u)=A也叫f(x)在点x=u处的瞬时变化率.
如果y=f(x)在区间I的每个点x处都有导数f′(x),称f(x)在区间I可导或点点可导,这时f′(x)(简单记作y′)也是在区间I上有定义的函数,也叫做f(x)在区间I上的导函数,用极限记号表达为

简单地说,当分母趋于0时若差商有极限,这极限叫做导数.
差商的分母v-u是函数y=f(x)的自变量的改变量,常记作Δx,分子f(v)-f(u)是函数值的改变量,常记作Δy,所以差商常常用符号
表示.微积分早期的数学家认为,Δy和Δx在取极限的过程中分别转化为dy和dx,所以也用
或
表示导数f′(x).现在,记号dy和dx已经有了更严谨准确的含意,如后面第12讲所述.
下面试试来算几个函数的导数.
命题1.1 常数函数f(x)=C的导数为0,即C′=0.
这是因为其差商
,当h趋于0时它保持为0,即无限接近于0.注意,当我们说“当h趋于0时
趋于数a”时,h不能等于0而
可以等于数a.也就是说,两个“趋于”含意有所不同.前一个“趋于”含意是无限接近但不等于,后一个“趋于”含意是无限接近但不排斥等于的可能.道理很清楚,因为h承担了分母的任务.(https://www.daowen.com)
命题1.2 一次函数f(x)=k·x+c的导数为常数k,即(k·c+C)′=k.
证明 差商

可见当h趋于0时它保持为k,即无限接近于k.
命题1.3 对任意常数a、k和C取g(x)=a·f(x)+k·x+C,则当f(x)可导时g(x)也可导,且
![]()
证明 计算g(x)的差商可得
.当h趋于0时
趋于f′(x),故左端趋于a·f′(x)+k.
在上述命题中取特款,得到两个常用的计算导数的法则.
命题1.4 (i)若f(x)-g(x)为常数,则g′(x)=f′(x);
(ii)若g(x)=a·f(x),而a为常数,则g′(x)=a·f′(x).
命题1.5 在(-∞,+∞)上有(x2)′=2x.
这是前面求瞬时速度时计算过的题目,温习一下.
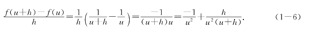
命题1.6 当x≠0时,有
.
证明 计算f(x)=
在x=u≠0和u+h≠0处的差商得

当h趋于0时右端是不是趋于
呢?这一眼看不出来.当|h|很小很小时,右端的
是不是非常非常接近于0呢?你如果直观上相信当h趋于0时右端确实趋于
,就跳过下面的分析去看下一个命题.如果怀疑,就仔细看看.
比如,当|h|很小很小时,能不能使得
<0.001呢?
若|h|小得满足|h|<|0.2u|,则|u+h|>|0.5u|,从而
<
.想要
<0.001,只要|h|<|0.0005u3|和|h|<|0.2u|同时成立即可.
类似推理可知,只要|h|足够小,
还可以小于0.0001,小于0.0000001,小于0.0000000001,总之要多小就能够有多小.
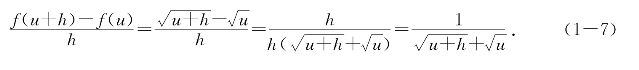
命题1.7 当x>0时,有
.
证明 计算f(x)=
在x=u>0和u+h>0处的差商得

当h趋于0时右端趋于
,命题得证.
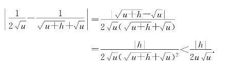
如果不相信,辛苦一下详细写出

这就真相大白了.
例题1—1 求二次函数y=x2-5x+6的导数,并在一个坐标系中作出此函数及其导函数的图像.
解 应用命题1.5和1.3得到y′=2x-5,图像如图1-2.

图1-2 二次函数及其导函数图象
例题1—2 利用命题1.7的结果,求
的近似值.
解 命题1.7的结果为
.由于当h接近0时差商接近导数,故
.取u=9和h=1得
,于是得
≈3.167.
习题1—1 应用命题1.1至1.7,计算下列函数的导数,并作出各函数及其导数的图像.

习题1—2 利用命题1.7的结果估计
的近似值.