第二讲 应用均值属性学子另辟蹊径
数学解题提倡一题多解.寻找平均速度与瞬时速度的关系,还有没有别的思路呢?现在请你合上书想想,平均速度与瞬时速度有何关系?
这可是一个挑战性的问题.几百年来,甚至可以说两千多年间,无数杰出的数学家中,只有牛顿给出了一种解答.而且是数学上说不清的解答.为了说清楚这个解答,数学家继续思考了150多年.
现在希望一题多解.
我们问,还有没有第二种解答?
如果你希望自己把答案想出来,就收起书,把问题放在心里,也许你几分钟就想出来了,也许要用你几年.爱因斯坦上中学的时候,曾经用三个星期的时间独立思考,自己证明了勾股定理.
当然,成功的路不止一条,不一定要学爱因斯坦.如果你等不得,就看下去.
瞬时速度有时比平均速度大,有时比平均速度小.当然,匀速运动的情形两者相等.
总体均值在某两个局部均值之间,这是平均值的基本属性.如果全班的一次考试成绩平均80分,一定有高于80分的同学,也有低于80分的同学,除非人人都是80分!
如果你刚才没有想到这一点,可能是因为它太平凡太简单了.数学家几百年来都忽略了这个平凡的道理.你如果想不到也很正常.
如果想到了这一点,祝贺你!走向微积分殿堂的另一条通道在你面前打开了.
把这个想法用于(1-1)式,在a=1时,看出平均速度u+v满足不等式

也得到了表达式2u或2v!
在(2-1)中没有任何可怀疑之处.但作为一个数学方法,它的严谨性和有效性有待检验.毕竟(1-3)经历过几个世纪的风风雨雨,而(2-1)则是呱呱落地的柔弱的婴儿!
从平凡的(2-1)出发如何继续前进?它和牛顿的天才思路(1-3)有什么联系?这是我们要继续思考探索的问题.
把原始的思路提炼成数学语言,才能深入,才能发展.
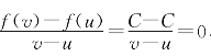
对于非匀速运动,“瞬时速度有时比平均速度大,有时比平均速度小”.用数学语言如何表达这个想法呢?
仍用函数S=S(t)表示运动方程,设时刻t的瞬时速度为V(t).于是,“瞬时速度有时大于等于平均速度,有时小于等于平均速度”.用数学语言来表达,就是
在[u,v]上有点p和q满足不等式

注意,我们现在还不知道瞬时速度的数学定义.但从物理直观看来,运动物体有瞬时速度,并和平均速度之间有上述关系,
不等式(2-2)中用“小于等于”的不等号,这把匀速运动的情形也包括在内了.
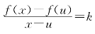
这个不等式描述的是两个函数S(t)和V(t)之间的关系.举一反三,把概念一般化,得到下面的定义.
定义2 (甲函数和乙函数)设函数F(x)和f(x)都在数集S上有定义,若对S中的任意两点u<v,总有[u,v]∩S中的p和q,使有不等式

成立,则称F(x)是f(x)在数集S上的甲函数,f(x)是F(x)在数集S上的乙函数(注意在(2-3)中不排斥p=q的情形).
用不等式(2-3)可以估计F(x)的差商,故称“估值不等式”.
通常数集S是某个区间,但在定义中不限于区间,例如,数集S可能是有理数集或正整数集.
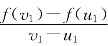
如图2-1,在函数y=F(x)的曲线上取两个点A=(u,F(u))和B=(v,F(v)).如前所述,割线AB的斜率是F(x)在[u,v]上的差商
.设曲线上横坐标x=p的点E处的切线的斜率为k(p).直观上看k(p)有时大于割线的斜率,有时小于割线的斜率.把切线的斜率看成切点横坐标x的函数k=k(x),按定义它是y=F(x)的乙函数.

图2-1 割线斜率在两切线斜率之间

图2-2 曲线下面积随x变化构成函数
再看图2-2.将函数f(x)的曲线和x轴之间在[a,x]上方的这块曲边梯形面积记作F(x).则图2-3中[u,v]上这块曲边梯形面积为F(v)-F(u).如果把这块曲边梯形面积去高补低折合成长为v-u的矩形,则矩形的宽
应当在f(x)在[u,v]上的某两个函数值f(p)和f(q)之间.这表明f(x)是F(x)的乙函数.

图2-3 矩形的高在f(x)的某两个函数值之间
从这些直观描述的例子看,甲乙函数的概念不但有鲜明的物理意义,而且有丰富的几何意义.
从数学本身看,不等式(2-3)提供了估计函数F(x)的差商的手段,函数的性质和差商有密切关系.差商为0,F(x)就是常数;差商为非零常数,F(x)就是一次函数;差商为正,则F(x)递增;差商为负,则F(x)递减;差商非正,则F(x)不增;差商非负,则F(x)不减;掌握了差商的性质,对函数的性质也就了若指掌.但是差商的表达式涉及两个变元,一般说比较复杂.如果能够用较为简单的一元函数来估计差商,当然很好.这个用来估计F(x)的差商的函数,就是F(x)的乙函数.
乙函数如此重要,下面就来尝试计算常见函数的乙函数.
命题2.1 求常数函数f(x)=C的一个乙函数.
证明 对[u,v]上任两点p和q总有
,所以恒为零的函数是常数函数f(x)=C的一个乙函数.
命题2.2 求一次函数f(x)=k·x+C的乙函数.
证明 对[u,v]上任两点p和q总有
,即常数函数c(x)=k是f(x)=k·x+C的乙函数.
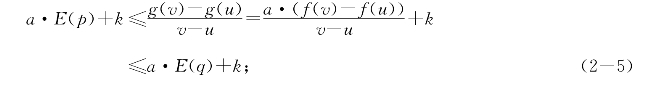
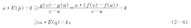
命题2.3 (i)若E(x)是f(x)在S上的乙函数.对任意常数a、k和C取g(x)=a·f(x)+k·x+C,则a·E(x)+k是g(x)的乙函数;
(ii)若E(x)是f(x)在S上的乙函数.对任意常数C取g(x)=f(x+C),并记S1={x|x+C∈S},则E(x+C)是g(x)在S1上的乙函数;
(iii)若E(x)是f(x)在S上的乙函数.对任意k≠0取g(x)=f(k·x),并记S1={x|k·x∈S},则k·E(k·x)是g(x)在S1上的乙函数.
证明 (i)因E(x)是f(x)在S上的乙函数,对S中的任意两点u<v,总有[u,v]∩S中的p和q,使有

将(2-4)乘以a再加k,当a≥0时有

当a≤0时有

按定义a·E(x)+k是g(x)的乙函数.
(ii)对S1中任意两点u<v,记u1=u+C和v1=v+C,则u1和v1在S中,故有[u1,v1]∩S中的两点p1和p2使E(p1)≤
≤E(q1),记p=p1-C和q=q1-C,注意到f(v1)=f(v+C)=g(v)和f(u1)=f(u+C)=g(u),便得

这证明E(x+C)是g(x)在S1上的乙函数.
(iii)类似于(ii),对S1中任意两点u<v,记u1=k·u和v1=k·v,则u1和v1在S中,故有[u1,v1]∩S(或[v1,u1]∩S,视k为正或负而定)中的两点p1和p2,使E(p1)≤
≤E(q1),记
和
,注意到f(v1)=f(k·v)=g(v)和f(u1)=f(k·u)=g(u),便得

从而
在k·E(k·p)与k·E(k·q)之间,这证明k·E(k·x)是g(x)在S1上的乙函数.
命题获证.
在上述命题中取特款和简单推论,得到常用的求乙函数的法则:
命题2.4 (i)若f(x)-g(x)为常数,则g(x)和f(x)有相同的乙函数;
(ii)若E(x)是f(x)的乙函数,g(x)=a·f(x)而a为常数,则a·E(x)是g(x)的乙函数;
(iii)若E(x)是f(x)在S上的乙函数,g(x)=f(k·x+C)而k≠0,S1={x|(k·x+C)∈S},则k·E(k·x+C)是g(x)在S1上的乙函数.
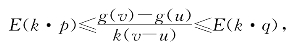
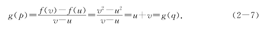
命题2.5 求f(x)=x2的乙函数.
证明 令g(x)=2x,p=q=
∈[u,v],则

这表明g(x)=2x是f(x)=x2的乙函数.
当然,也可以取p=u和q=v,由2u<u+v<2v表明g(x)=2x是f(x)=x2的乙函数.(https://www.daowen.com)
命题2.6 在(-∞,0)和(0,+∞)上求f(x)=
的乙函数.
证明 当0<u<v时有

取p=u和q=v可见g(x)=-
是f(x)=
在(0,+∞)上的乙函数;
当u<v<0时有

取p=v和q=u可见g(x)=-
是f(x)=
在(-∞,0)上的乙函数.
命题2.7 求f(x)=
在(0,+∞)上的乙函数.
证明 计算f(x)=
在正数u<v处的差商得

取p=v和q=u可见g(x)=
是f(x)=
在(0,+∞)上的乙函数.
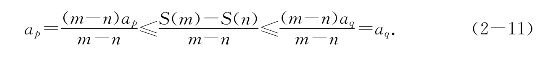
命题2.8 数列an=a(n)(n=0,1,2,…)可以看成定义域为自然数集的函数,其前n+1项之和
也是定义域为自然数集的函数.则a(n)是S(n)的乙函数.
证明 对于任意两个自然数n<m,有
![]()
设{an,an+1,…,am}中最小者为ap,最大者为aq(两者可能相等),则

这表明a(n)是S(n)的乙函数.
命题2.9 设g(x)是f(x)在S上的乙函数,u<v是S中的两点,则有
(i)若g(x)在[u,v]∩S上恒为0,则f(x)在[u,v]∩S上为常数;
(ii)若g(x)在[u,v]∩S上为常数k≠0,则f(x)在[u,v]∩S上为一次函数k·x+C;
(iii)若在[u,v]∩S上有g(x)>0,则f(x)在[u,v]∩S上递增;
若在[u,v]∩S上有g(x)≥0,则f(x)在[u,v]∩S上不减;
(iV)若在[u,v]∩S上有g(x)<0,则f(x)在[u,v]∩S上递减;
若在[u,v]∩S上有g(x)≤0,则f(x)在[u,v]∩S上不增.
证明 (i)由条件推出f(x)在[u,v]∩S上差商为0,故为常数;
(ii)由条件推出f(x)在[u,v]∩S上差商为k,即对x∈[u,v]∩S有
,从而f(x)=k·(x-u)+f(u);
(iii)由[u,v]∩S上g(x)>0和估值不等式推出f(x)在[u,v]∩S上差商为正,故递增;
由[u,v]∩S上g(x)≥0和估值不等式推出f(x)在[u,v]∩S上差商非负,故不减;
(iV)由[u,v]∩S上g(x)<0和估值不等式推出f(x)在[u,v]∩S上差商为负,故递减;
由[u,v]∩S上g(x)≤0和估值不等式推出f(x)在[u,v]∩S上差商非正,故不增.
将命题2.1到2.7和命题1.1到1.7顺次对比,不难发现乙函数和导数的相似之处.特别是对于函数
来说,乙函数和导数完全相同!
但乙函数和导数又不是完全相同:
第一,函数F(x)的导数是在一点x=u处定义的,并要求F(x)在包含x=u的某个区间上有定义;而F(x)的乙函数是在F(x)的定义域数集S上定义的,S可以不包含区间,如命题2.8;
第二,导数的定义中用到了暂时还说不清楚的自然语言,难以作为严谨推理的基础,乙函数的定义是严谨的数学语言;
第三,由命题2.9可见,根据F(x)的乙函数的性质很容易推出F(x)的性质;而从F(x)的导数的定义却很难看出F(x)的性质,要用导数研究函数,需要作更深入的研究;
第四,按定义求函数的乙函数过程很清楚,按定义求函数的导数要借助于直观,费更多的口舌.
“导数正则函数增”是常用的命题,但不容易证明;“乙函数正则函数增”却非常显然!
到此为止,新方法的优势很明显,这样简单的思路在数学发展的悠长岁月里居然没有被发现,是值得深思的有趣的事情!
例题2—1 求f(x)=
在(0,+∞)上的乙函数g(x),作两个函数的图象,并利用g(x)的性质研究f(x)的增减性.
解 应用命题2.6和2.3可知g(x)=
是f(x)的乙函数.当0<x<
时g(x)<0,当x>
时g(x)>0,由命题2.9可知,f(x)在(0
)递减,在(
,+∞)递增.如图2-4.

图2-4 用乙函数的正负判断函数增减
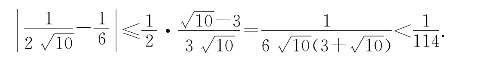
例题2—2 利用命题2.7求
的近似值.
解 在不等式(2-10)中取v=10和u=9得到

由此得到
,如果取3+
≈3.167作为
的近似值,从不等式可知此近似值是过剩近似值,且误差不会超过

和例题1-2比较,这里的推理更清楚,而且还能够估计近似值的误差.
习题2—1 求f(x)=4
-x在(0,+∞)上的乙函数g(x),作两个函数的图像,并利用g(x)的性质研究f(x)的增减性.
习题2—2 利用命题2.1至2.7求下列函数的乙函数.
(i)y=5-7x+2x2;
(ii)f(x)=
-4x+3(x≠0);
(iii)g(x)=5
-3x+6(x>0);
(iV)y=2cos2x-cos2x+
+1(x>0).
习题2—3 试用定义求G(x)=
(x≥-1)的乙函数.
习题2—4 试用定义求f(x)=
(x≠-1)的乙函数.
习题2—5 模仿例题2-2,取u=10和
来求
的近似值,并估计其误差.
习题2—6 设有三个定义于自然数集合上的函数a(n)=2n+1,b(n)=2n+2和S(n)=n2+2n+4,根据定义证明a(n)和b(n)都是S(n)的乙函数.
习题2—7 符号函数sgn(x)的定义为

试证明它是A(x)=|x|的乙函数.
习题2—8 设g(x)是f(x)在区间I上的乙函数,u<v是I中的两点,求证:
(i)若g(x)在(u,v)上恒为0,则f(x)在[u,v]上为常数;
(ii)若g(x)在(u,v)上恒为常数k≠0,则f(x)在[u,v]上为一次函数k·x+C;
(iii)若在(u,v)上有g(x)>0,则f(x)在[u,v]上递增;
(iV)若在(u,v)上有g(x)<0,则f(x)在[u,v]上递减.
【关于乙函数的一个注记】 是不是在区间I上定义的每个函数都有乙函数呢?回答是肯定的.请看下面的例子.
在每个区间上无上界也无下界的函数 在区间I上定义函数f(x):若x为无理数,令f(x)=0;若x为既约分数
(p>0),令f(x)=(-1)p·p.则容易证明,f(x)在任意长度不为0的区间上既无上界也无下界.
显然,这样定义的函数f(x),它是在区间I上定义的每个函数的乙函数!这样的乙函数无助于了解它的甲函数.所以下面要对乙函数加上某些限制,使它规规矩矩地为我们服务.