第十讲 对称求逆算出指数函数微商
通常教材上首先引进指数函数,再将指数函数的反函数定义为对数函数.这里采用相反的次序,先引进对数函数,然后指出对数函数的反函数就是指数函数.这样做,对数函数的几何意义更直观,推理更简明.
由于当u≠v时lnu≠lnv,故y=lnx有唯一的反函数,记作expx.称expx为以e为底的指数函数.显然expx和lnx互为反函数,两者的图象关于直线y=x对称,如图10-1.

图10-1 自然对数函数lnx及其反函数expx的图象
命题10.1 (指数函数expx的性质)
(i)expx定义域为(-∞,+∞),对一切x有expx>0;
(ii)expx在(-∞,+∞)上递增;
(iii)(加减变乘除)对任意两数A、B,有

(iV)(乘除变乘开方)对任意正数A、整数n和非零整数m有

(V)![]()
(Vi)expx差商有界.
证明 (i)由lnx定义域为(0,+∞)可知对一切x有expx>0:
由lnx无上下界可知expx定义域无上下界;
(ii)由lnx的递增性推出其反函数递增;
(iii)根据ln(AB)=lnA+lnB和反函数关系得

(iV)根据
和反函数关系得

(V)由lne=1得exp1=explne=e,再在(iV)中取A=1即得;
(Vi)对任意的a<b,有0<A=expa<expb=B,由不等式(9-2)即
<
,在(0,+∞)的任意闭子区间[A,B]上总有

由命题5.4可知lnx的反函数在[a,b]上差商有界,从而expx在(-∞,+∞)上差商有界.
命题证毕.
由上述结论(V)可见,expx就是以exp1=e为底的指数函数.以后记expx=ex.
对任意不为1的正数a,logax的反函数是什么呢?
如果f(x)是logax的反函数,按定义应当有
![]()
应用logax的定义得
=x,即lnf(x)=x·lna.两端取指数函数值得exp(lnf(x))=exp(x·lna),从而f(x)=exp(x·lna).这样就得到了logax的反函数exp(x·lna).当x为有理数
时,有
![]()
所以就记exp(x·lna)=ax.即logax的反函数为ax.
由命题10.1容易推出函数exp(x·lna)=ax的性质.
命题10.2 (指函数exp(x·lna)=ax的性质)
(i)ax定义域为(-∞,+∞),对一切x有ax>0;
(ii)ax在(-∞,+∞)上当a>1时递增,a<1时递减;
(iii)(加减变乘除)对任意两实数u、v,有

(iV)(乘除变乘开方)对任意两实数u、v,有
![]()
(V)a0=1,a1=a. (10-8)
命题10.2的证明留给读者.图10-2是不同底的几个指数函数的图象.

图10-2 不同底的几个指数函数的图象
下面讨论指数函数的求导问题.
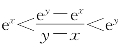
在估值不等式
中取u=ex和v=ey,得到

这表明函数y=ex自己是自己的乙函数,由y=ex差商有界,从而得到
命题10.3 指数函数求导公式
![]()
这是微积分中最美的事实之一,(https://www.daowen.com)
根据exp(x·lna)=ax,改写符号得exp(a·lnx)=xa,这里x>0而a为任意非零实数.从而得
命题10.4 一般幂函数求导公式
![]()
证明 应用链式法则得

证毕.
回头分析一下推导指数函数导数公式的过程,从中可以找出反函数一般求导方法.
命题10.5 设F(x)在[a,b]上强可导且对任意x∈[a,b]有F′(x)≠0.则其反函数G(x)强可导且有

此命题涉及反函数存在性,其证明放在第18讲中(命题18.5).为了加深对这个公式的印象,可以对反函数的定义等式F(G(x))=x两端求导,由链式法则得F′(G(x))·G′(x)=1,这样自然得到了(10-12).
从几何上看,如图10-3.F(x)的图象和G(x)的图象关于直线L:y=x对称,曲线y=G(x)上的点P=(u,v)和曲线y=F(x)上的点Q=(v,u)对称,两点处的切线也对称,从而其切线斜率互为倒数.

图10-3 反函数导数的几何意义
除了对数函数和指数函数互为反函数外,重要的反函数的例子是反三角函数,主要是反正弦函数、反余弦函数、反正切函数和反余切函数.
由于三角函数的周期性,必须限制其定义域在某个范围内才有唯一的反函数,为方便,约定将sinx的定义域限定在
以确定其反函数arcsinx.也就是说,函数arcsinx定义于[-1,1]而取值于
,满足条件sin(arcsinx)=x.类似的,将cosx的定义域限定在[0,π]以确定其反函数arccosx.将tanx的定义域限定在
以确定其反函数arctanx,将cotx的定义域限定在[0,π]以确定其反函数arccotx.这几个函数的图象如图10-4至图10-7.

图10-4 反三角函数arcsinx的图象

图10-5 反三角函数arccosx的图象

图10-6 反三角函数arctanx的图象

图10-7 反三角函数arccotx的图象
例题10—1 计算反三角函数arcsinx和arctanx的导数.
解 (i)由sin(arcsinx)=x两端求导数得cos(arcsinx)·(arcsinx)′=1,
再应用cosA=
得
![]()
从而有

(ii)直接应用反函数求导公式(命题10.5)和(tanx)′=
,以及三角恒等式
得

例题10—2 计算y=ax的导数(a>0).
解 由ax=exlna,用链式法则得
![]()
例题10—3 计算xx的导数(x>0).
解 将xx取自然对数得x·lnx,故xx=exlnx.用链式法则得
![]()
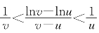
例题10—4 求证:当h≠0时有
![]()
解 当h>0时在不等式(10-9)即
中取y=h和x=0得1<
,乘以h得h<eh-1<h·eh;
当h<0时取y=0和x=h得
,乘以h得h·eh>eh-1>h.结论获证.
习题10—1 求下列函数的导数:
(i)x2ex;
(ii)2x(sinx+cosx);
(iii)ln
;
(iV)(1+x4)cosx.
习题10—2 计算反三角函数arccosx和arccotx的导数.
习题10—3 试证明对任意闭区间[a,b]上的x和x+h有不等式
|ex+h-ex-hex|<h2eb.
习题10—4 试讨论函数y=axlna-lnx的零点个数和a的关系.