第十二讲 多练微分等式计算熟能生巧
牛顿采用的导数记号是在函数名上加个圆点.用一撇表示求导数运算,是拉格朗日首先采用的记法.
这个记号很方便,但有不足之处.例如,如果计算(uv)′,就有了问题:是把u看成自变量,还是把v看成自变量呢?把u看成自变量,v就是参数,uv就是幂函数,(uv)′=v·uv-1;如果把v看成自变量,u就是参数,uv就是指数函数,则(uv)′=uv·lnu;两者大不相同.
因此,如果用一撇表示求导数运算,就必须约定一个表示自变量的字母.这在讨论较复杂的问题时会带来不便.
微积分的另一位创建人莱布尼兹,对于求导的记号作了更细致的考虑,他建议用的求导记号,就是第6讲在强可导定义之后所介绍的,用
或
来表示函数y=f(x)的导数.按照莱布尼兹的这种记号,
=v·
,两者就分清楚了.
记号
作为导数,本意是一个整体.但在引进微分的概念后,也可以看成两个微分的比.而且这样看带来很多方便.
什么是微分?在第3讲里提到过“微分三角形”,在第6讲里说过“通常把f(x+h)-f(x)叫做函数f在x处的差分,通常记作Δy或者Δf(x)、Δf等;f′(x)h叫做f在x处的微分,通常记作dy或者df(x)、df等.”这样看,微分的意义很清楚也很简单,就是f′(x)h,这里h是不同于x的独立的变量.
既然dy=f′(x)h,把x看成x自己的函数就有dx=(x)′h=h,于是dy=f′(x)h=f′(x)dx.这样,dy=f′(x)dx就成为
的另一种写法,即求微分的表达式.求微分的计算就是求导数的计算,只是用乘法形式代替了分数形式.这样一来,初等函数求导公式可以写成初等函数微分公式:
(1)常数:dC=0;
(2)幂函数:dxn=nxn-1dx(n非零整数,x∈(-∞,+∞));
dxα=αxα-1dx(α非零实数,x>0).
(3)对数函数:dlnx=
(x>0);

(4)指数函数:dex=exdx;
dax=axlnadx.
(5)三角函数:dsinx=cos xdx
;
(6)反三角函数:darcsinx=
;
darccosx=
;

求导数的运算法则,也可以用微分等式来表示.记忆这些法则时,可以省略自变量x.
(i)函数线性组合的微分:d(αf+βb)=αdf+βdg;
(ii)函数积的微分:d(f·g)=fdg+gdf;
(iii)函数商的微分:
;
(iV)复合函数的微分:df(g)=f′(g)dg;(https://www.daowen.com)
(V)反函数的微分:若f(g(x))=x,则dg=
.
微分等式在表示复合函数的链式法则时更方便.设y=f(u)且u=g(x),按链式法则有dy=df(g(x))=f′(g(x))g′(x)dx;但由于u=g(x),所以du=g′(x)dx,这样就有dy=df(g(x))=f′(g(x))du,也就是dy=df(u)=f′(u)du,可见尽管u是中间变量,微分等式df(u)=f′(u)du仍然成立.这样不论函数复合多少次,都可以按微分等式一层一层地计算.即所谓微分等式的不变性.
例题12—1 求复合函数y=sineln(1+x)2的微分.
解 记u=ev,v=lnw,w=1+x2;则

于是有 dy=dsinu=cosudu=cosu·evdv

代换后得

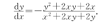
例题12—2 设曲线τ的方程为x2y+xy2+x2+y2=9,求曲线τ在点P(3,0)和Q(0,-3)处切线的斜率kp和kQ(图12-1).

图12-1 曲线x2y+xy2+x2+y2=9及其切线
解 对曲线方程两端求微分得
x2dy+2xydx+2xydy+y2dx+2xdx+2ydy=0,
整理后为 (x2+2xy+2y)dy+(y2+2xy+2x)dx=0,
因此有

分别将P和Q的坐标代入得两点处切线斜率kp=-
和kQ=
.
习题12—1 求下列函数的微分:
(i)y=
);
(ii)y=
.
习题12—2 设曲线τ的方程为x2+(1+sin2πx)y2+xy=3,求曲线τ在点P(1,1)和Q(0,-
)处切线的斜率kp和kQ(图12-2).

图12-2 曲线x2+(1+sin2πx)y2+xy=3及其切线