第八讲 复合函数链式法则深入研习
上一讲里提到,根据乙函数和强导数的关系并应用命题2.3和2.4,可以得到公式(f(k·x+C))′=k·f′(k·x+C).这样的公式在计算诸如f(x)=(k·x+C)n这样函数的导数时带来了方便.这是高中课程中要求会用的求导公式.
如果进一步问,代入到函数f(x)里面的不是简单的一次函数k·x+C,而是一个更一般的函数g(x),该有什么样的求导公式呢?
也就是说,知道了f(x)和g(x)的求导公式,如何计算复合函数f(g(x))的导数呢?答案就是下面的重要命题.
命题8.1 (复合函数求导的链式法则)设函数F(x)在区间I上强可导,G(x)在区间J上强可导,且当x∈I时有F(x)∈J,则复合函数G(F(x))在I上强可导,且
![]()
这里特别要注意求导数的记号的两种形式:(G(F(x)))′表示函数G(F(x))对x求导,而G′(F(x))表示G(u)对导后再令u=F(x)代入.
链式法则的证明 为简单且不失一般性,我们对I=[a,b]且J=[c,d]的情形加以论证.
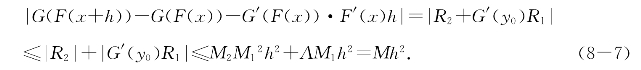
根据强可导的定义,有正数M1,使对[a,b]中的任意两点x和x+h有不等式
![]()
同理有正数M2,使对[c,d]中的任意两点y和y+H有不等式
![]()
又由命题6.2可知有正数A使得对一切x∈[a,b]和y∈[c,d]有
![]()
记F(x)=y0,F(x+h)-F(x)=H0,R2=G(y0+H0)-G(y0)-G′(y0)H0和R1=H0-F′(x)h,则由上面几个不等式有

根据R2、R1和H0等的意义有

从而得到

此不等式表明G′(F(x))F′(x)是G(F(x))在[a,b]上的强导数.证毕.
复合是函数之间最重要的运算.因此,求复合函数导数的链式法则也就是最重要的求导公式.对这个法则的含义和用法一定要清楚,否则在微积分的进一步学习中将有很大困难.
学习使用链式法则,在还不熟练时可分三步走:
第一步,取中间变量u=F(x),把要求导的函数y=G(F(x))用y=G(u)和u=F(x)两个函数表示;
第二步,分别对不同变量求出两函数的导数G′(u)和F′(x);
第三步,将两个导数G′(u)和F′(x)相乘,再用u=F(x)代入,就得到复合函数y=G(F(x))的导数.
例题8—1 求下列函数的导数:
(i)sin(2x+7);
(ii)
;
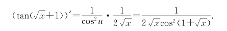
(iii)tan(
+1).
解 (i)记u=2x+7,y=sinu.分别对x和u求导得u′=2和y′=cosu,相乘再用u=2x+7代入得(sin(2x+7))′=2cos(2x+7).这和前面使用命题2.3和2.4得到的结果一致;
(ii)记u=x+
,y=u5.分别对x和u求导得u′=1-
和y′=5u4,相乘再用u=x+
代入得
.
读者不妨把
展开求导作对比.
(iii)记u=
+1,y=tanu.分别对x和u求导得u′=
和y′=
,相乘再用u=
+1代入得

对链式法则熟练之后,就不必写出中间变量u,一气呵成.(https://www.daowen.com)
如果要求导的函数是三个函数复合而成呢?只要多用一次链式法则就解决了.
命题8.2 (多层复合函数求导的链式法则)设函数F(x)在区间I上强可导,G(x)在区间J上强可导,H(x)在区间K上强可导,且当x∈I时有F(x)∈J,当u∈J时有G(u)∈K,则复合函数H(G(F(x)))在I上强可导,且
![]()
证明 记ψ(x)=G(F(x)).
由命题8.1得(H(ψ(x)))′=H′(ψ(x))ψ′(x);
再用命题8.1得ψ′(x)=(G(F(x)))′=G′(F(x))F′(x);
集成两式得
(H(G(F(x))))′=(H(ψ(x)))′=H′(ψ(x))ψ′(x)
=H′(G(F(x)))G′(F(x))F′(x).
命题得证.
同理,对4层以上的复合函数容易导出相应的链式法则.
例题8—2 求下列函数的导数:
(i)(1+sin(x2+1))25;
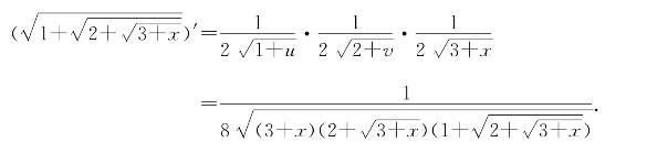
(ii
.
解 (i)记v=x2+a,u=1+sinv和y=u25;三者分别对3个变量求导后相乘并用原设变量代换得
((1+sin(x2+1))25)′=25u24·cosv·2x=50cos(x2+1)(1+sin(x2+1))24.
(ii)记v=
和y=
,三者分别对3个变量求导后相乘并用原设变量代换得

例题8—3 求二次曲线3x2+xy+2y2-x=14上点(2,1)处的切线方程.
解 把y看成x的函数,将曲线方程两端对x求导数,由链式法则得
![]()
从(8-9)中解出y′=
,当x=2、y=1时y′=-
,即曲线在点(2,1)处的切线斜率k=-
.故切线方程为12x+5y-29=0.此曲线及切线如图8-1.

图8-1 二次曲线的切线
习题8—1 求下列函数的导数:
(i)(x2-3x+7)33;
(ii)
;
(iii)sin(3+
);
(iV)
;
(V)
;
(Vi)
习题8—2 试推导4层复合函数H(G(F(ψ(x))))的求导公式.
习题8—3 (i)过点(3,-1)作曲线x2-xy-4y2+y=7的切线;
(ii)已知A=(u,v)是曲线x3+xy-y3-2x2=1上的点,求此曲线在点A处的切线斜率k.