第十三讲 学以致用微商描述曲线模样
给了一个初等函数的表达式,我们已经知道如何计算其微商即导数.计算的步骤可以机械化地执行.对于比较复杂的表达式,可以用计算机来求导.
求一个函数的导数的目的,是为了掌握函数的性质.例如:
(i)估计函数在某些点处所取的值,如例题1-2、2-2、6-5等;
(ii)作函数曲线的切线(其实就是确定函数在某些点附近的最简单的近似表达式),如例题3-1、3-2、3-3、8-3、12-2等;
(iii)确定函数的增减性以及最大最小值,如例题2-1、4-1、4-3、4-4、4-5、4-6、5-6等.
根据函数在某些特殊点的值和增减性,可以大体上了解函数图像的模样.但是,增减性相同的函数,其图像仍然会有很大差异,图13-1中的两条曲线弧都是单增的,但弯曲方向却完全不同,如何描述曲线弯曲方向呢?
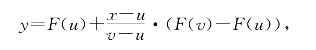
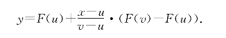
直线不弯曲,于是曲线弯曲方向可以直线为标准作比较.在图13-1中的虚线曲线y=g(x)上取两点作弦,两点之间的曲线在弦的上方;在实线曲线y=f(x)上取两点作弦,两点之间的曲线在弦的下方.过两点(u,F(u))和(v,F(v))的直线方程为

图13-1 两个递增函数的曲线凸凹性不同

故可用下面的方法刻画曲线的凸凹.
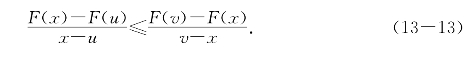
定义8 设函数F(x)在区间I有定义.对I的任意子区间(u,v),记

若对x∈(u,v)总有
![]()
则称函数y=F(x)在I上是下凸的;如果上述不等式中等号总是取不到,即对x∈(u,v)总有
![]()
则称函数y=F(x)在I是严格下凸的;
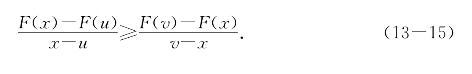
反过来,如果将不等式反向,即对x∈(u,v)总有
![]()
则称函数y=F(x)在I是上凸的;如果对x∈(u,v)总有
![]()
则称函数y=F(x)在I是严格上凸的.
相应地也称函数曲线是下凸的或上凸的等等,
图13-2是严格下凸函数的定义的说明.图中直线方程是


图13-2 严格下凸函数图象
关于函数的凸性,各种资料中的说法不同.有的书上称下凸的函数为“凸函数”;有的则相反,称下凸的函数为“凹函数”而称上凸的函数为“凸函数”.此外还有上凹和下凹的说法,凸向原点和凹向原点的说法.总之,阅读时要细心关注该资料本身的定义或上下文.这里采用的上凸下凸的说法,不仅符合直观,也和各种资料均不冲突,没有歧义.
另外,刻画函数凸性的不等式,也有不同的说法.不少资料上采用的定义类似于下面的表达:
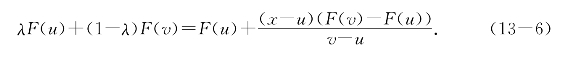
设函数F(x)在区间I上定义,若对I中的任意两点u和v,和任意λ∈(0,1),都有
![]()
则称F(x)在I上是下凸的.
相应地,在不等式中改取符号<、≥或>,得到严格下凸、上凸和严格上凸的定义.
应当指出,不等式(13-5)和(13-1)等价,事实上,只要取点x=λu+(1-λ)v,则λ∈(0,1)等价于x∈(u,v),且λ=
;简单的计算表明

也就是说,基于形式(13-5)的定义和这里的定义等价.
不少书上采用另一种方式来定义函数的凸性:
若对任意u,v∈I,u≠v,总有

则称函数曲线y=F(x)在I上是下凸的;
若对任意u,v∈I,u≠v,总有

则称函数曲线y=F(x)在I上是上凸的.
从不等式(13-5)显然能推出(13-7),反过来一般不成立.不过若限制于可导函数,能够证明两者等价.
本书定义8中的不等式,左端是曲线弧上对应于变量x的点的纵坐标,右端是曲线弧的弦上对应于变量x的点的纵坐标,直观地表示出弦与弧的上下位置关系,无需更多推导.而另外两种定义,则具有数学的简洁性.
若函数F(x)在区间I可导,其曲线上每点处就都有切线.作出曲线的切线来观察,可以发现凸凹性和切线也有关系.函数y=F(x)在I上是下凸的,相当于曲线弧上每一点处的切线都在曲线弧之下.函数曲线y=F(x)在I上是上凸的,相当于曲线弧上每一点处的切线都在曲线弧之上;图13-3是下凸的情形.

图13-3 下凸函数曲线的切线在下面
仔细观察容易发现,下凸曲线上每点处的切线斜率随着x的增大而增大,上凸曲线每点处的切线斜率随着x的增大而减少,如图13-4.
而函数曲线F(x)的切线斜率就是导数F′(x),这就提示我们,可用F′(x)的单调性来判断函数曲线y=F(x)的凹凸性.经严谨论证,可得如下判定函数曲线凹凸性的方法.

图13-4 下凸函数曲线切线斜率递增
命题13.1 设函数y=F(x)在区间I可导,则
(i)若F′(x)在I上非减,则y=F(x)在I上是下凸的;
若F′(x)在I上递增,则y=F(x)在I上严格下凸;
(ii)若F′(x)在I上非增,则y=F(x)在I上是上凸的;
若F′(x)在I上递减,则y=F(x)在I上严格上凸.
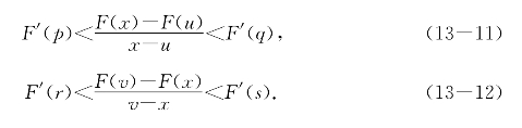
证明 对于I中任意三点u<x<v,由估值不等式可知:有[u,x]中的p和q,并且有[x,v]中的r和s使有不等式(https://www.daowen.com)

而且若F′(x)在I上递减或递增,则y=F(x)在I的任何子区间不可能是线性函数,从而上面的不等式可以成为严格的,即有

于是
(i)若F′(x)非减,则由q≤x≤r得F′(q)≤F′(r),由(13-9)和(13-10)得

这等价于
(F(x)-F(u))(v-x)≤(F(v)-F(x))(x-u),
整理得
(v-u)F(x)≤(v-u)F(u)+(x-u)(F(v)-F(u)), (13-14)
两端除以(v-u)即得F(x)下凸的定义不等式.
若F′(x)递增,用(13-11)和(13-12)代替(13-9)和(13-10),同理得严格下凸定义不等式.
(ii)若F′(x)非增,则由p≤x≤s得F′(p)≥F′(s),由(13-9)和(13-10)得

整理得
![]()
两端除以(v-u)即得F(x)上凸的定义不等式.
若F′(x)递减,用(13-11)和(13-12)代替(13-9)和(13-10)同理得严格上凸定义不等式.证毕.
函数y=F(x)的导数F′(x)如果也可导,则由F′(x)的导数的正负可以判断其增减性.此时称F(x)二阶可导,F′(x)的导数叫做F(x)的二阶导数,记作F″(x).因而有
命题13.2 设函数y=F(x)在区间I上二阶强可导,若F″(x)>0,则F(x)在区间I上严格下凸;若F″(x)<0,则F(x)在区间I上严格上凸.
例题13—1 确定对数函数y=logax的凸性.
解 两次求导数得

当a>1时lna>0从而y″<0,由命题13.2知y=logax严格上凸;
当a<1时lna<0从而y″>0,由命题13.2知y=logax严格下凸(图13-5).
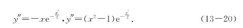
例题13—2 讨论函数曲线y=x3的凹凸性.
解 两次计算导数得
![]()
当x∈(-∞,0),y″<0,故函数y=x3在(-∞,0)严格上凸;

图13-5 对数函数的凸性
当x∈(0,+∞),y″>0,故函数y=x3在(0,+∞)严格下凸(图13-6).

图13-6 函数曲线的拐点
这里,函数曲线y=x3在点(0,0)左右的凸性发生了变化.称点(0,0)为此曲线的拐点,一般说来,若函数曲线y=F(x)在经过点(x0,F(x0))时凹凸性改变了,那么就称点(x0,F(x0))为该曲线的拐点,也说x0是函数y=F(x)的拐点.
显然,二阶可导的函数y=F(x)对应的曲线凹凸性发生变化的点必然是F″(x)的符号发生变化的分界点,即满足F″(x)=0的点或二阶导数不存在的点.找出这些点,再看点的两侧F″(x)的符号是否相同,即可确定是否为拐点.
例题13—3 求函数y=
曲线的拐点.
解 求出

这里没有使y″=0的点,但x=0时y″不存在.
当x<0时y″>0,曲线下凸;当x>0时,y″<0,曲线上凸.
所以点(0,0)是函数y=
曲线的拐点(图13-7).

图13-7 函数y=
曲线的拐点
例题13—4 确定函数y=f(x)=
的凸性与拐点.
解 求出

使y″=0的点为x=±1,为方便讨论,列表如下:

函数曲线y=
的两个拐点分别是(-1,
)与(1
).如图13-8.

图13-8 函数曲线y=
的两个拐点
习题13—1 讨论函数y=arctanx曲线的凸性,并确定其拐点.
习题13—2 讨论指数函数y=ex的凸性,并证明当x≠y时有不等式ex+ey>
.
习题13—3 讨论函数y=sinx曲线的凸性,并确定其拐点.
习题13—4 讨论函数y=
曲线的凸性,并确定其拐点.
习题13—5 讨论函数y=x3-a·x2+5曲线的凸性,并确定其拐点.
习题13—6 设f(x)在[a,b]上强可导且导数f′(x)递增,求证:对任一点u∈[a,b],当x≠u时有不等式f(x)>f(u)+f′(u)(x-u).