第十四讲 艺术精深函数展成泰勒级数
知道了一个函数y=F(x)的表达式,如何根据给定的x的值尽可能准确地求出F(x)的值呢?这个问题的现实重要性和理论意义是不言而喻的.
有些函数,根据表达式可以通过加减乘除来求函数值.例如多项式函数和分式函数.但是另一些函数,像三角函数、对数函数、指数函数等,从表达式看不出求函数值的具体步骤.在没有微积分的年代,数学家曾经花费大量的时间和精力编制这些函数的函数表,以满足天文、航海等实际应用的需求.微积分的发展,为计算函数值提供了有力的方法,其中最重要也是最常用的,就是泰勒公式(泰勒,B.Taylor,英国数学家,1685—1731).
泰勒公式最简单的情形,可以从强导数的定义推出.
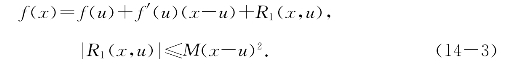
回顾强可导的定义(定义5)可知,若函数f(x)在[a,b]上的强导数为f′(x),则有正数M使对[a,b]上任两点u和u+h成立不等式(6-6):
![]()
记u+h=x,再令
R1(x,u)=f(x)-f(u)-f′(u)(x-u)
![]()
则有

式(14-3)表明,如果x和u很接近,可以用一次函数f(u)+f′(u)(x-u)作为f(x)的近似值,其误差的绝对值不超过M(x-u)2.在例题1-2、2-2、6-5中,正是用这种思路估计了几个函数在某些点处的值.
一次函数f(u)+f′(u)(x-u)和f(x)之间有什么关系呢?
容易看出,它们在x=u处有相同的函数值和相同的导数值.
一次函数y=f(u)+f′(u)(x-u)的图象是直线,它就是曲线y=f(x)在点(u,f(u))处的切线.直线和曲线一般总不会太接近.如果用二次函数以至更高次的多项式作为函数f(x)的近似值,看来应当有更好的效果.这样就引出了泰勒多项式的概念.
泰勒多项式的概念涉及函数的高阶导数.
前面讨论函数的凸性时,用到了二阶导数.
函数F(x)的导数F′(x)也叫一阶导数.F′(x)的导数叫二阶导数,记作F″(x).如果F″(x)可导,其导数叫做F(x)的三阶导数,记做F‴(x)或F(3)(x).一般说来,可以归纳地定义:记F(0)(x)=F(x),F(1)(x)=F′(x);当n>1时若F(n-1)(x)可导则定义
![]()
并称F(n)(x)为F(x)的n阶导数.
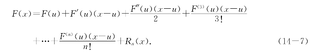
定义9 设F(x)在区间I有n阶导数(n>0),u∈I.多项式

叫做F(x)在x=u处的n阶泰勒多项式.而
![]()
叫做F(x)在x=u处的n阶泰勒展开的余项,或n阶泰勒余项.
在不至于混淆时,可以简单地用Rn(x)和Tn(x)或Rn(x,F)和Tn(x,F)分别表示Rn(x,u,F)和Tn(x,u,F).
容易验证,Rn(u)=F(u),并且对k=1,…,n有R(k)n(u)=F(k)(u).也就是说,所谓F(x)在x=u处的n阶泰勒多项式Rn(x),是这样的不超过n次的多项式,它在x=u处的函数值和不超过n阶的导数值分别和F(x)的函数值和不超过n阶的导数值相等.
根据(14-6),有

这个等式叫做F(x)在x=u处的n阶泰勒展开式,F(x)在x=0处的泰勒展开式也叫做F(x)的马克劳林展开式(马克劳林,C.Maclaurin,英国数学家,1698—1746).
如果余项|Rn(x)|很小,泰勒公式就提供了用四则运算计算函数值的一个有效的方法.因此,余项的估计很重要.估计余项的方法不止一种,下面的方法仅仅用到“导数正则函数增”的基本知识.
命题14.1 设F(x)和G(x)在[a,b]上可导,如果对一切x∈[a,b]有F′(x)≤G′(x),则对一切x∈[a,b]有
![]()
证明 令H(x)=G(x)-F(x),则对一切x∈[a,b]有H′(x)=G′(x)-F′(x))≥0,故H(x)在[a,b]上单调不减,从而H(x)≥H(a),即(14-8),证毕.
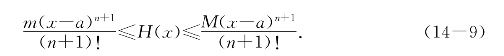
命题14—2 (预备泰勒定理)设H(x)在[a,b]上n+1阶可导,且
(i)k=0,1,2,…,n时,有H(k)(a)=0;
(ii)在[a,b]上有m≤H(n+1)(x)≤M.
则对x∈[a,b]有

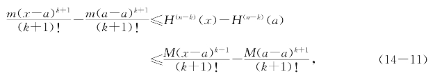
证明 先对k=0,1,2,…,n+1作不完全归纳来证明

当k=0时,由条件(ii)在[a,b]上有m≤H(n+1)(x)≤M;
设k<n+1时有(14-10),则由命题14.1对k+1有

由条件(i)也就是

由数学归纳法,(14-10)对k=0,1,2,…,n+1成立.特别当k=n+1时得到要证明的(14-9),证毕.
现在可以轻松得到泰勒展开式的余项估计了.
命题14.3 (泰勒定理)设F(x)在[a,b]上n+1阶可导,且在[a,b]上有|F(n+1)(x)|≤M,则对[a,b]上任意点u和x,有泰勒展开式(https://www.daowen.com)
![]()
并且

证明 令H(x)=F(x)-Tn(x,u),易验证H(x)在[u,b]上满足命题14.2中的条件,从而当x∈[u,b]时,有(14-14)成立.
当x∈[a,u]时,取G(x)=F(-x),对G(x)在[-u,-a]上应用上述已经获证的结论,再将G回代为F,就完全证明了所要的结论,证毕.
利用泰勒公式展开多项式,若n不小于多项式的次数,则余项为0,得到准确的表达式.
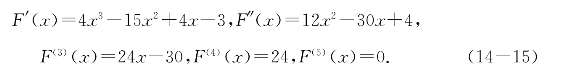
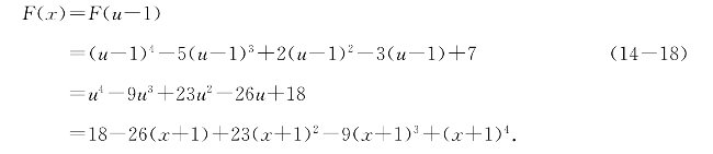
例题14—1 按(x+1)的幂展开函数F(x)=x4-5x3+2x2-3x+7.
解1 容易求得

于是F(-1)=18,F′(-1)=-26,F″(-1)=46,F(3)(-1)=-54,F(4)(-1)=24;代入泰勒多项式,注意余项为0,得到:
![]()
解2 用待定系数法,设
![]()
两端取x=-1得A=F(-1)=18;
将(14-17)两端求导后取x=-1得B=F′(-1)=-26;
再求导取x=-1得2C=F″(-1)=46,C=23;
再求导取x=-1得6D=F(3)(-1)=-54,D=-9;
最后显然有E=1,从而得到同样的结果.这种方法说明了泰勒多项式的发现过程.
解3 不求导数也可以.只要设x+1=u,则x=u-1,于是

可谓殊途同归.
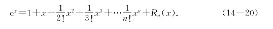
例题14—2 写出函数F(x)=ex的n阶马克劳林公式,并求e的近似值,使其误差不超过10-6.
解 容易计算出
![]()
![]()
根据泰勒定理,对于任意的a≤0≤b和x∈[a,b]得

若记A=max{|a|,|b|},则

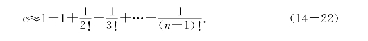
取x=1,则得无理数e的近似式为

因为x=1∈[0,1],所以

取n=9,可得Rn(1)<10-6,此时e≈2.718282即为所求.
图14-1画出了函数y=ex和它在x=0处的前几个泰勒多项式的图像,图中粗线是y=ex的图像,细虚线分别是其0到6价的泰勒多项式的图像,其中4、5、6阶的泰勒多项式在x>0的部分和y=ex很接近,从图上看不到了.

图14-1 指数函数的泰勒多项式
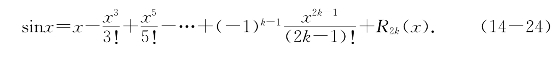
例题14—3 求函数F(x)=sinx的n阶马克劳林展开式.
解 计算给出F(2n)(0)=0,F(4n+1)(0)=1和F(4n+3)(0)=-1,故有

其中|R2k(x)|≤
.
如果在(14-24)中取k=1,则得近似公式sinx≈x,分别取k=2,3,则可得sinx的3次和5次近似公式sinx≈x-和sinx≈x-
.这些和sinx越来越接近的多项式函数的曲线如图14-2.
习题14—1 按(x-1)的幂展开函数F(x)=x4-4x3+5x2-7x+3,用不同的方法来做.

图14-2 正弦函数的秦勒多项式
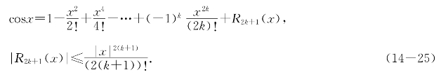
习题14—2 求证

并用此式计算cos5°精确到5位有效数字.
习题14—3 求ln(1+x)的马克劳林展开式,并估计余项.
习题14—4 求函数f(x)=arctanx的马克劳林展开式,并利用它计算圆周率π的近似值.