2.2 精讲例题与分析
2.2.1 基本习题讲解
例2.1 证明:


由数列单调有界必收敛,可得该数列收敛.
例2.4 证明:若数列{xn}无界,则{xn}必有一子数列{xkn}存在,使得
![]()
证明 由数列{xn}无界,即对于任何M>0,均存在正整数m使得
![]()
因数列{xn}无界,故存在某项xk1,满足|xk1|>1.
由于数列{xn}(n=k1+1,···)也无界,故存在某项xk2(k2>k1),使得|xk2|>2.
···
由于数列{xn}(n=km+1,···)也无界,则存在某项xkm+1(km+1>km),使得|xkm+1|>m+1.
···
这样就得到数列{xn}的一个子列{xkn},且满足
![]()
由此可知![]()
例2.5 证明:单调数列若有一个子数列收敛,则该单调数列也收敛.
证明 假设数列{xn}单调增加,且其子列{xkn}收敛于a,则由定义,∀ε>0,存在正整数N1,当m>N1时,有
![]()
对于上述的ε>0,取N=kN1,当n>N时,由于
![]()
故存在m′(m′>N),使得km′≤n<km′+1.
由于m′>N,故
![]()
又xkm′≤xn≤xkm′+1,得到
![]()
从而对于所有的n>N,式(2-4)均成立,证毕.
2.2.2 拓展习题讲解
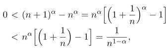
例2.6 设0<α<1,求证:
![]()
证明 由于(https://www.daowen.com)

又1−α>0,故

由夹挤定理得到证明.


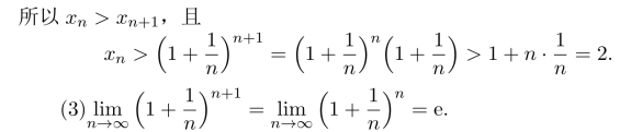
证明 由(1)、(2)知两数列均收敛且极限值相同,定义为e.
例2.8 设
![]()
试证明{xn}收敛.

则数列{xn}有界.由单调有界必有极限法则可证明{xn}收敛.
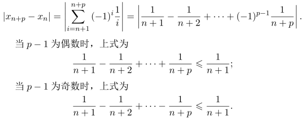
例2.9 利用Cauchy收敛原理证明数列

收敛.
证明 ∀正整数p,n,


于是
•当a1≤0时,有a2>a1,数列{an}单调增加;
•当0<a1<4时,a2>a1,数列{an}单调增加;
•当a1>4时,有a2<a1,数列{an}单调减少;
•当a1=4时,an=4,n=2,3,···.
且注意到

即an+1−4与a1−4同号,故
•当a1≤0或0<a1<4时,an<4,n=1,2,···,因此数列{an}单调增加有上界,故收敛;
•当a1>4时,an>4,此时数列单调减少有下界,故亦收敛;
•当a1=4时,显然收敛.

得极限值A=4.