3.1 本课重点内容提示
1.实数系的其他两个定理
(1)区间套定理
设闭区间列{[an,bn]}是一区间套,则存在唯一点ξ属于所有的闭区间[an,bn],且
![]()
注意区间套的定义,一是闭区间列具有嵌套关系,二是区间长度趋于0,二者缺一不可.
例
为一开区间列,不满足区间套定理.
例
为一闭区间列,且具有嵌套关系,但其长度不趋于0,故也不满足区间套定理.
(2)致密性定理(仅作了解)
由第二课中知道,单调有界数列必收敛.仅仅有界的数列是否也收敛呢?答案是不一定.但是,有界数列{xn}必有收敛的子列,这一有关数列和子列的性质(第二课课外练习)就是致密性定理,可以用区间套定理证明之.
2.函数极限的定义
f(x)=A⇔设函数f(x)在x0的某一邻域内有定义(在x0点可以无定义),A是常数.对于任意的ε>0,存在δ>0,当0<|x−x0|<δ时,有
![]()
对于函数极限的分析定义的理解:
(1)δ不仅与ε有关系,还与函数f(x)在x0的邻域内的性态有关系,所以δ=δ(ε,x0),因此,函数的极限是一个局部性的概念.
(2)定义中的δ与数列的极限中的N的位置和作用相似.
(3)从函数的极限的定义可以看出,在点x0有无极限,与f(x)在x0处有无定义没有关系.
(4)f(x)在x0处没有极限的分析表述:
如果存在ε0>0,对于任何δ>0,总存在一点xδ,满足0<|xδ−x0|<δ,但是
![]()
就称f(x)在点x0处不以A为极限.
如果f(x)在点x0处不以任何实数A为极限,则称f(x)在x0点没有极限.(https://www.daowen.com)
3.函数的单侧极限的定义
=A⇔设函数f(x)在x0的右邻域内有定义(在x0点可以无定义),A是常数.对于任意的ε>0,存在δ>0,当0<x−x0<δ时,有
![]()
称A为f(x)于x0点的右极限,简记为
![]()
同理,可定义f(x)于x0点的左极限,并记为
![]()
由左、右极限的定义不难得到
![]()
由此,求分段函数(即函数在分段点两侧的表达式不一样)在分段点处的极限时,就可以利用左极限和右极限求之.例如

等.
注 函数的左、右极限有时也分别记为
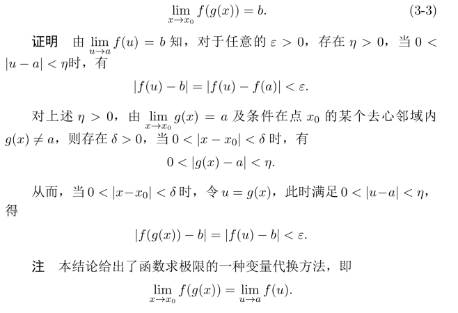
4.极限的复合计算.
定理3.1设

且在点x0的某个去心邻域内g(x)≠a,则

利用此结论可以证明一个幂指数函数求极限中的结果.
