10.2 精讲例题与分析
10.2.1 基本习题讲解
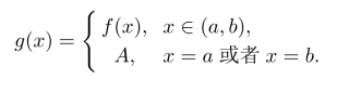
例10.1 设函数f(x)在有穷区间(a,b)内可导,且
![]()
证明:在(a,b)内必有一点C,使得f′(C)=0.
证明 构造函数g(x),使其满足Rolle定理的条件.
令

其中

则g(x)在区间[a,b]上连续,开区间(a,b)内可导,由Rolle中值定理知,在(a,b)内存在一点C∈(a,b),使g′(C)=0,由g(x)的定义,得到
f′(C)=0.
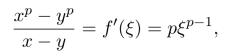
例10.2 试用Lagrange中值定理证明不等式:
pyp−1(x−y)<xp−yp<pxp−1(x−y)(0<y<x,p>1).
证明 令f(z)=zp,则f(z)在[y,x]上满足中值定理的条件,故存在一点ξ∈(y,x),使得

又yp−1<ξp−1<xp−1,则不等式成立.
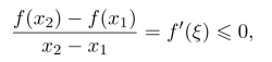
例10.3 设函数f(x)在区间[a,b]上满足Rolle定理的条件,且f(x)不恒为常数,则在(a,b)内至少存在一点ξ,使得f′(ξ)>0.
证明 假设不存在ξ∈(a,b),使得f′(ξ)>0,则对于任意ξ∈(a,b),均有f′(ξ)≤0.
任取x1<x2,且x1,x2∈[a,b],由Lagrange中值定理,存在ξ∈(x1,x2),使

故f(x2)≤f(x1),即在[a,b]单调减少,又f(a)=f(b),故f(x)恒为常数,与条件矛盾,得证.
例10.4 设函数f(x)在[0,1]上有二阶导数,且
![]()
又f(x)在(0,1)内取得最大值.证明:
![]()
证明 由于f(x)在(0,1)内取得最大值,则存在x0∈(0,1)及x0的邻域,使得该邻域内,f(x)≤f(x0),由Fermat定理,f′(x0)=0.
另外,由中值定理,存在ξ1∈(0,x0),ξ2∈(x0,1),使得
![]()
两式相加,注意到f′(x0)=0,得(https://www.daowen.com)
![]()
10.2.2 拓展习题讲解
例10.5 若f′(x)于(a,b)内存在且有界,试证f(x)于(a,b)上一致连续.
证明 由f′(x)于(a,b)内有界,则存在M>0,使
![]()
任意的x1,x2∈(a,b),不妨设x1<x2,则f(x)在[x1,x2]上满足Lagrange中值定理的条件,存在ξ∈(x1,x2),使

成立,就有
![]()
由一致连续的定义,知f(x)于(a,b)上一致连续.
注 式(10-1)也称为f(x)于(a,b)上满足Lipschitz条件.
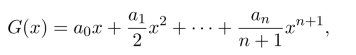
例10.6 设a0,a1,···,an满足
![]()
则函数f(x)=a0+a1x+···+anxn在(0,1)内至少存在一个解.
证明 令

由题中的条件,可知G(0)=0,G(1)=0,G(x)于[0,1]上满足Rolle定理的条件,即存在ξ∈(0,1),使G′(ξ)=f(ξ)=0,得证.
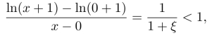
例10.7 当x>0时,试证明:
<ln(1+x)<x.
证明 对于右半部分,由Lagrange中值定理,存在ξ∈(0,x),使得

得证右边不等式.令F(x)=(x+1)ln(x+1),类似可以证明左边的不等式.请读者自行证明.
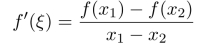
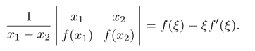
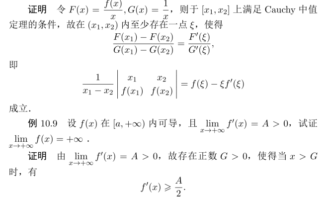
例10.8 设函数f(x)于[x1,x2]上可导,并且x1x2>0,证明存在一点ξ,使得


由Lagrange中值定理,当G<x1<x时,有

类似可以证明:
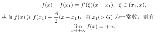
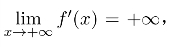
例 设f(x)处处可导,若
则必有
+∞.
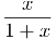
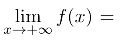
例 设函数f(x)在(0,+∞)内有界且可导,当
存在时,有![]()