15.2 精讲例题与分析

15.2 精讲例题与分析

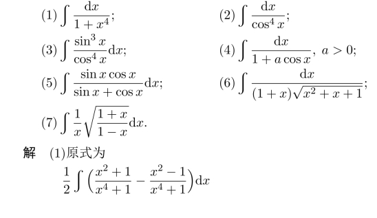
15.2.1 基本习题讲解

例15.1 求下列函数的不定积分.

图示

图示

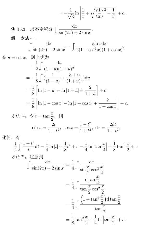
注 也可以由另外一种方法求解,原式为

图示

注 以上两种方法得到的不定积分是只差一个常数吗?为什么?

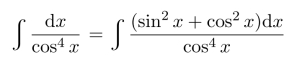
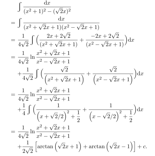
(2)将分子用恒等式1=sin2x+cos2x替换,得到

图示

图示(https://www.daowen.com)

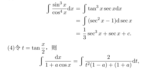
(3)直接计算,得

图示

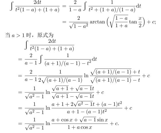
分别对于a>1和0<a<1两种情形考虑该不定积分.

当0<a<1时,原式为

图示

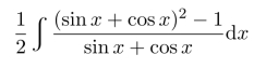
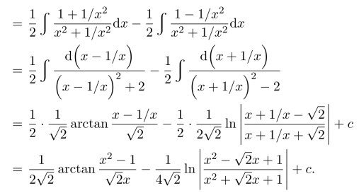
(5)原式为

图示

图示

图示

图示