导文网
搜索
首页>
图书频道>
理学>
数学物理化学
综合训练三 不定积分部分
2026年01月14日
版权
综合训练三 不定积分部分
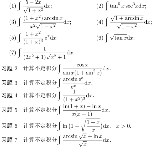
习题1 求下列不定积分.(https://www.daowen.com)
上一章
下一章
目录