16.1 本课重点内容提示
1.定积分的极限定义.
对于任意小的正数ε>0,总存在一个正数δ,使得对于区间的任意分法
![]()
只要各个小区间长度|∆xi|<δ(∆xi=xi−xi−1),不论ξi如何选取,都有

成立.数I就是定积分.从该定义可以看出:
(1)定积分是和的极限,但是该极限不同于前面的数列的极限或者函数的极限(其自变量简单的是n或者x),此处是对于区间I的任意剖分,不论ξi如何选取,当剖分的小区间长度趋于零时的极限,且极限值是不变的.
(2)定积分的几何意义是由被积函数f(x)所表示的曲线和坐标轴围成的面积.该面积为用小矩形的面积(长为f(ξi),宽为∆xi)之和近似时,区间长度|∆xi|趋于零时的极限.
(3)既然定积分的值不依赖于区间的分法和ξi的选取,因此可以将数列的极限构造成
的形式,用定积分来求其值,也即此时数列的极限是一种特殊的区间分法和特殊的ξi的选取下的前n项和的极限.
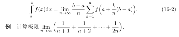
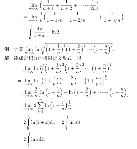
有如下的结论,若函数f(x)在区间[a,b]上连续,则

解 由定积分的极限定义形式,得

注 到现在为止,求数列的极限的方法又多了一个,就是利用定积分来求数列的极限,但是此方法只适用于求数列的前n项和的极限.
2.两个可积准则和三类可积函数.
(1)f(x)在区间[a,b]可积,充分必要条件为
(https://www.daowen.com)
(2)f(x)在区间[a,b]可积,充分必要条件为

(3)三类可积函数是:闭区间上的连续函数,分段连续函数,或者闭区间上的单调有界函数.
3.定积分的主要性质.
(1)可积函数在其积分区域上是有界的.(逆否命题:无界函数一定不可积.)
(2)定积分的运算是线性的.

(3)若函数f(x)在区间[a,b]可积,且对任意x∈[a,b],有f(x)≥0(或者f(x)≤0),则有
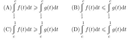
例 设函数f(x)与g(x)在[0,1]上连续,且f(x)≤g(x),且对任何c∈(0,1),有().

(4)绝对可积性.若函数f(x)在区间[a,b]可积,则|f(x)|在区间[a,b]上也可积,且

(5)积分中值定理.设函数f(x)和g(x)都在区间[a,b]上连续,且g(x)在[a,b]上不变号,则在[a,b]上至少存在一点ξ,使得

例 设函数f(x)于[0,1]连续,在(0,1)内可导,且满足

