16.3 课外练习
A组

B组
习题16.4 求数列的极限

习题16.5 利用定积分的定义求数列的极限

习题16.6 设f(x)在[0,1]上可微,且满足条件
试证明:存在ξ∈(0,1),使f(ξ)+ξf′(ξ)=0.
习题16.7 设函数f(x)在闭区间[a,b]上具有二阶导数,且

证明:存在一点ξ∈(a,b),使得

C组
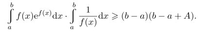
习题16.8 设正值函数f(x)在闭区间[a,b]上连续,
证明:

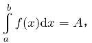
习题16.9 设函数f(x)为定义在(−∞,+∞)上,以T>0为周期的连续函数,且
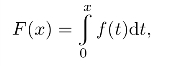
习题16.10 设函数f(x)连续,

证明F(x)可导,且

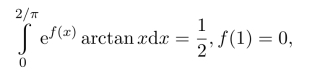
习题16.11 设函数f(x)在闭区间[a,b]上连续,在开区间(a,b)内可导,且有

则至少存在一点ξ∈(0,1),使得
