16.2 精讲例题与分析
16.2.1 基本习题讲解
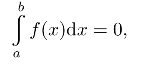
例16.1 设f(x)在[a,b]上连续,且f(x)≥0,证明:如果

则在[a,b]上f(x)≡0.
证明 利用反证法.假设存在一点x0∈[a,b],使

则由于f(x)在[a,b]上连续(连续函数的保号性),存在δ,当x∈(x0,x0+δ)时,

这与已知条件矛盾.得证.
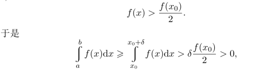
例16.2 证明不等式




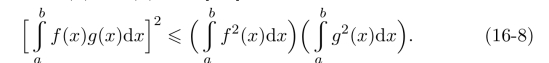
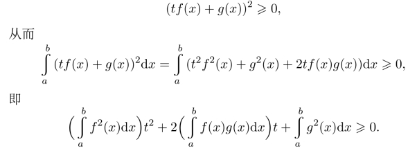
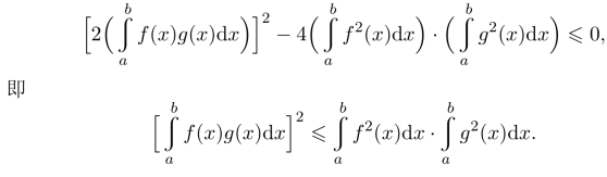
例16.8 设f(x)和g(x)都在[a,b]上可积,求证Schwarz不等式

证明 对任何实数t,有

对任何实数t成立.即上述关于t的二次不等式的解集为全体实数,于是就有
