导文网
搜索
首页>
图书频道>
理学>
数学物理化学
17.3 课外练习
2026年01月14日
版权
17.3 课外练习
A组
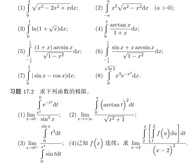
习题17.1 求下列定积分.
B组
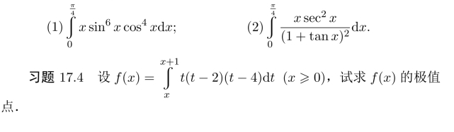
习题17.3 计算下列定积分.(https://www.daowen.com)
C组
上一章
下一章
目录