17.1 本课重点内容提示
1.定积分的基本积分公式.
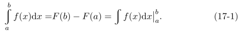
设函数f(x)在[a,b]上连续,F(x)为f(x)的任意一个原函数,则

该公式也称为Newton-Leibniz公式,这个公式把计算作为积分和极限的定积分问题,转化为求被积函数的一个原函数的问题,大大简化了定积分的计算.同时,可以看到,不定积分和定积分通过原函数建立了联系.
另外,设变上限的定积分
则

该关系即为微分和积分的基本关系,这个关系说A(x)是一个积分,求它的微分就是f(x).
2.由于上述的定积分的基本积分公式,可知定积分的计算就是求被积函数的一个原函数的问题,因此,不定积分的所有计算方法包括换元法、分部积分方法、三角函数积分方法、无理函数积分方法、递推计算方法等都可以用来计算定积分.
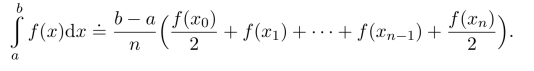
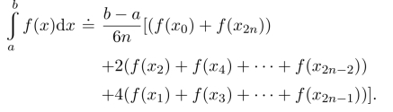
3.有些定积分其原函数不能用初等函数来表达,因此该情形就不能利用定积分的基本积分公式来计算,可以对该类积分进行近似计算.定积分的数值计算属于计算数学中的数值积分的内容,详情可参看相关的书籍,本课中仅介绍两种基本的计算方法:梯形公式和辛普生公式.
梯形公式将区间[a,b]n等分,分点为a=x0<x1<···<xn=b,则

辛普生公式(抛物线法近似)将区间进行[a,b]2n等分,分点为a=x0<x1<···<x2n=b,则

4.在定积分的计算中,有时候需要用到下面的结果:
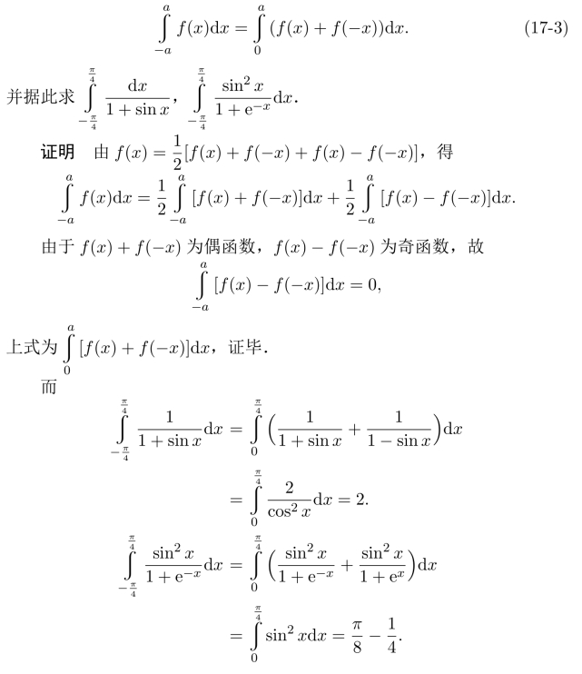
例 设f(x)在[−a,a](a>0)上连续,证明(https://www.daowen.com)

由定积分的性质,易知有下面三个结果:
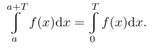
(1)设f(x)是以T为周期的连续函数,a为任意常数,则

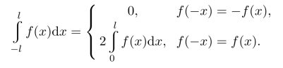
(2)设f(x)是[−l,l]上的连续函数,则

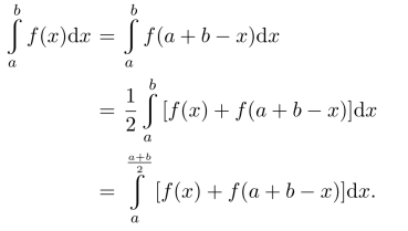
(3)设f(x)是[a,b]上的连续函数,则

5.含参变量的定积分的导数是定积分计算的重要内容,应熟练掌握.
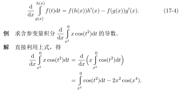
(1)一般地,

(2)变限定积分的导数,要求被积函数中不含有参数,如果被积函数中含有参数,可以通过变量替换将参数变换到积分号外,再进行求导.

