17.2 精讲例题与分析
2026年01月14日
17.2 精讲例题与分析
17.2.1 基本习题讲解



17.2.2 拓展习题讲解
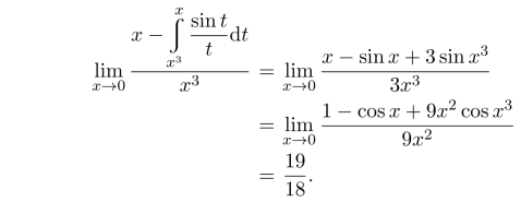
例17.6 求变上限定积分的导数或极限.


其中第二步利用了积分中值定理,因为f(x)连续,不能再利用L’Hospital法则了.
注 其实,上面的推导并不严密.应该利用f(0)≠0及连续性,得到0点一个邻域,在此邻域中再利用中值定理,就比较好了.请读者想想为什么.


证毕.
方法二,对于定积分的不等式的证明,可以构造相应的含参变量的定积分,利用其导数的性质得到结果,这种方法在有关定积分的不等式证明中比较有效.

由f(x)在[a,b]上单增,得到F′(x)≥0,从而F(b)≥F(a)=0,得证.
类似的练习留给读者.
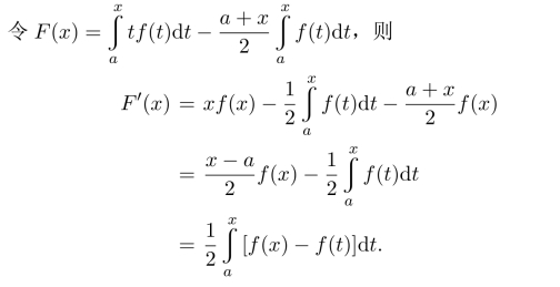
设f(x)在[a,b]上可微,且0<f′(x)≤1,f(a)=0.试证:
(https://www.daowen.com)


再利用L’Hospital法则,可得到同样的结果.
(2)同(1),得

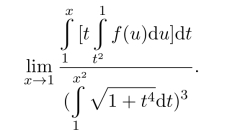
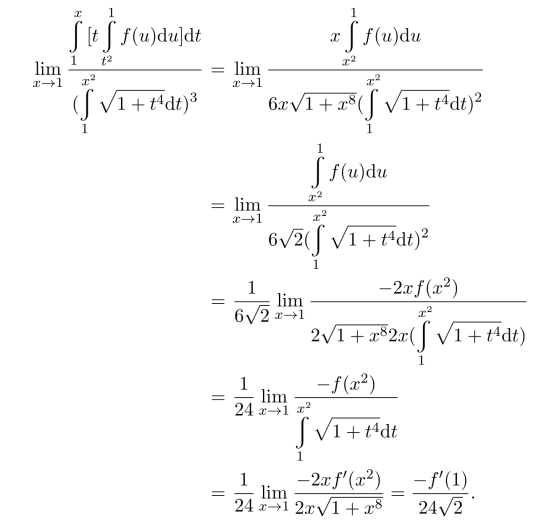
例17.10 f(x)有连续导数,且f(1)=0,求极限值

解 利用L’Hospital法则,

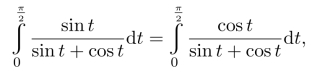
例17.11 证明:

并求其值.
证明 令u=π/2−t,做此代换,则有

解 由原函数的定义,知

利用分部积分,得
