§1.1 可测结构
在本书中,集合R表示实数集,Q表示有理数集,Z表示整数集,N表示自然数集,下标+表示非负元素全体,如R+表示非负实数集,其他类似.我们假设读者熟悉集合的关系和运算.
定义1.1.1 非空集合Ω的一个非空子集类F称为是Ω上的σ-代数(或σ-域),如果它对于补集运算和可列并运算封闭.
容易验证,σ-代数一定包含有∅,Ω为元素且对于有限交,有限并及可列交等运算都是封闭的.集合上的一个σ-代数通常看作为集合上的可测结构,Ω及其上的一个σ-代数F组成的偶(Ω,F)称为是一个可测空间,其中的集合称为可测集.显然子集类2Ω与{∅,Ω}是Ω上的σ-代数,它们是Ω上的平凡σ-代数.
由定义不难验证Ω上任意多个σ-代数的交也是一个σ-代数,设A是Ω上一个子集类,用C(A)表示Ω上包含A为子集的σ-代数全体,因为2Ω∈C(A),故C(A)是非空的,记

(在本书中,记号:=读作被定义为.)则σ(A)是Ω上的σ-代数,它是由下列条件所唯一确定的σ-代数F:(i)F⊃A;(ii)若F′是σ-代数且F′⊃A,则F′⊃F.因此称σ(A)是包含A的最小σ-代数或由A生成的σ-代数.这是生成大多数重要的σ-代数的常用方法.
如果Ω是一个拓扑空间,则其所有开集组成的集类生成的σ-代数称为是Ω上的Borel代数,记为B(Ω),因为开集的补集是闭集,故它也是全体闭集生成的σ-代数.对于Euclid空间,我们记B(Rn)或Bn是n-维Euclid空间Rn上的Borel代数.
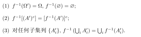
设Ω,Ω′是两个非空集合,f是Ω到Ω′的一个映射.对A′⊂Ω′,定义
![]()
练习1.1.1 验证下列性质:

设A′是Ω′的一个子集类,令
![]()
则由上述性质,如果A′是Ω′上σ-代数,f-1(A′)是Ω上σ-代数.
练习1.1.2 设Ω,Ω′是两个非空集合,f是Ω到Ω′的一个映射,设A′是Ω′的一个子集类.证明:σ[f-1(A′)]=f-1[σ(A′)].
定义1.1.2 可测空间(Ω,F)到可测空间(Ω′,F′)的映射f称为是可测的(或明确地,F/F′-可测的),如果f-1(F′)⊂F.从可测空间(Ω,F)到(R,B)的可测映射称为可测函数(或者F-可测函数).从(Rn,Bn)到(Rm,Bm)的可测映射称为Borel可测映射.
最简单的函数是示性函数.对A⊂Ω,定义A的示性函数

另外有限个示性函数的线性组合称为简单函数.显然示性函数可测当且仅当集合可测.对Ω上任何非负函数f,令

那么fn是示性函数的有限线性组合,关于n递增且极限是f.换句话说,非负函数可以写成为非负简单函数递增列的极限.
称一个子集类是π-类,如果它对有限交封闭.而称一个子集类是λ-系,如果它包含有∅,Ω且对于补集运算与不交可列并运算封闭.显然,代数当然是π-类,σ-代数是λ-系,反之不对.容易看出任意多个λ-系的交仍是λ-系,因此对Ω的任何子集类A,唯一存在一个包含A的最小λ-系,记为δ(A),也类似地称为由A生成的λ-系.
定理1.1.1 设F0是一个π-类,则δ(F0)是一个σ-代数,因此σ(F0)=δ(F0).证明.由定义,仅须验证δ(F0)对有限交运算封闭.任取A∈δ(F0),定义
![]()
先验证κ[A]是一个λ-系.事实上,只需证明κ[A](i)对补集运算封闭;(ii)对不相交集列的可列并运算封闭.这两点的验证留作习题.
因F0是π-类,故A∈F0蕴含着κ[A]⊃F0即κ[A]⊃δ(F0).这意味着当A∈δ(F0)时,κ[A]⊃F0.因此κ[A]⊃δ(F0),即δ(F0)中元素对有限交运算封闭.
由此推出很有用的单调类定理.单调类定理有多种表述方式,我们选其中对于概率测度使用方便的一个.Ω上的一个函数空间H被称为是一个单调类,如果它对非负递增列极限封闭,确切地说是指对其中任何关于n点点递增且极限是有界的非负函数列{fn}有limn fn∈H;说H包含一个子集类A是指它包含所有A中所有集合的示性函数.
定理1.1.2 设H是Ω上的一个单调类且1∈H.若H包含有π-类F0,则H包含Ω上的有界的σ(F0)-可测函数全体.
证明.设F是H中所有示性函数对应的集合组成的子集类,则F是λ-系,因为它包含π-类F0,故包含σ(F0).而非负可测函数可以表示为简单递增函数列的极限,因此单调类H包含非负有界的σ(F0)-可测函数全体,由线性性质,推出结论.
定义1.1.3 设(Ω,F)是一个可测空间,称F上的一个非负实值广义(可取无穷值的)集函数μ为(Ω,F)上的测度,如果
(1)μ(∅)=0;

练习1.1.3 任何测度空间在下面的意义下可以完备化.设(Ω,F,μ)是测度空间.记

N中的集合通常称为μ-零测集,那么Fμ={A∪N:A∈F,N∈N}.这样μ自动地延拓到Fμ上:μ(A∪N):=μ(A).读者需要验证定义无歧义.证明:(Ω,Fμ,μ)是一个完备测度空间,称为是原测度空间的完备化.
因此如有必要,我们总可以假设测度空间是完备的.
怎么构造一个测度是测度论最基本的问题.一般测度的构造是从Lebesgue测度的构造抽象出来的.从一个结构比σ代数简单很多的代数开始,Ω的非空子集类F0称为代数,如果它包含空集,且对余集运算和有限并运算封闭.也就是说,把σ代数的对可列并封闭减弱为对有限并封闭.虽然看起来相差不多,但实际上代数的结构可以非常简单.
![]()

定理1.1.3 设μ是代数F0上的一个σ-有限测度.则存在(Ω,σ(F0))上唯一的测度μ′使得它与μ在F0上一样,即μ存在唯一扩张.
这个定理的一个重要应用是Lebesgue测度的构造.
练习1.1.5 证明:R的左开右闭区间的有限并的全体A是一个代数,它总可以写成不交的有限并.定义

证明m是A上的测度.
这个m在B:=σ(A)上的扩张称为Lebesgue测度,B称为是Borelσ-代数,其中的集合称为Borel集.实际上把测度空间(R,B,m)完备化后得到的测度空间
![]()
才是真正的Lebesgue测度空间,L中的集合称为Lebesgue可测集.可以证明,L不能包含R的所有子集,它也真包含了B.
对于有限测度,我们有一个更好用的可列可加性等价条件,留给读者验证.
练习1.1.6 设μ是Ω的代数F0上的一个非负的有限可加的集函数且μ(Ω)<∞.如果对任何递减趋于空集的集列{An}⊂F0有μ(An)↓0,证明:μ是F0上的测度.
下面我们将介绍像测度的概念,是把测度从一个空间搬到另一个空间的工具,它在概率论中是很重要的.设μ是(Ω,F)上的一个测度,则可测映射f把μ映为(Ω′,F′)上的测度μ°f-1(或记为f(μ)):
![]()
称为μ在ξ下的像测度,或者说f把测度μ推送到(Ω′,F′)上.
练习1.1.7 验证μ°f-1是一个测度.

如不计次序,此表达式是唯一的.这时当下面右边有意义时,我们定义

注意我们总是约定0·∞=0.用S+表示Ω上的非负简单函数全体.不难验证,映射μ:S+→[0,+∞]是单调的且线性的.对Ω上的任意非负可测函数f定义
![]()
称为是f关于μ的积分.
定义1.1.4 设f是Ω上可测函数,记f+,f-分别是f的正部和负部,当μ[f+],μ[f-]两者至少有一个是有限时,称f关于μ的积分存在,且记f关于μ的积分为μ[f]:=μ[f+]-μ[f-];而当μ[f+],μ[f-]两者都有限时,称f关于μ是可积的.
(https://www.daowen.com)
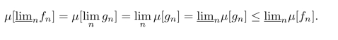
从定义直接可以推出的性质是积分的单调性:即如果f1≤f2是非负可测函数,那么μ[f1]≤μ[f2].下面所谓的单调收敛定理是积分理论中最基本的也是最重要的定理.
定理1.1.4 设{fn}是一个递增收敛于f的非负可测函数序列,则
![]()
这里↑lim表示极限是一个递增极限.
证明.由单调性,{μ[fn]}是一个单调增加的数列,且
![]()
反之,任取一个被f控制的非负简单函数g及0<λ<1,令An:={fn≥λg}.
因为在{f>0}上,有f>λg,故An↑Ω.
![]()
因g是简单的,故
![]()
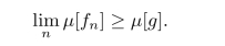
最后的等号利用μ在S+上的线性性及下连续性.因λ是任意的,推出
![]()
由μ[f]的定义推出limnμ[fn]≥μ[f].完成了证明.
一个零测集外成立的性质称为几乎处处成立.比如,测度空间(Ω,F,μ)上可测函数f1与f2称为几乎处处相等,是指它们在一个μ-零测集外相等,记为f1=f2,μ-a.e.在上下文明确时,简写为f1=f2 a.e.或f1=f2.上面定理的单调性可以用几乎处处单调代替.另外,任何非负可测函数f都可以表示为一个单调上升的非负简单可测函数序列的极限,如

因此由单调收敛定理可以推出其积分是非负简单可测函数序列的积分的单调上升极限,因而积分的性质通常只需对非负简单可测函数验证.比如用单调收敛定理容易验证对任何非负可测函数f,g有μ[f+g]=μ[f]+μ[g].然后如果f,g可积,那么f+g也可积且因为(f+g)++f-+g-=(f+g)-+f++g+,故由可积性与积分定义推出
![]()
读者可自行验证其单调性与其他一些简单性质.利用这个思想也容易证明下面的关于积分的变量替换公式.
定理1.1.5 设f是可测函数,φ是R上Borel可测函数,则φ在μ°f-1下可积当且仅当φ°f在μ下可积,且这时有
![]()
证明.公式显然对φ=1A,A∈B成立,然后应用单调类定理.
上面证明说明,应用单调类定理,证明类似的公式实际上只需要对示性函数证明就可以了,这个方法是概率论最基本的方法之一,读者必须掌握之.
下面我们将介绍的Fatou引理和Lebesgue控制收敛定理是分析中最重要的工具之一.先介绍Fatou引理.
定理1.1.6 (Fatou)设{fn}是非负可测函数序列,则
![]()
证明.令gn:=infk≥n fk,则{gn}是一个单调增加的非负可测函数序列且gn≤fn,由单调收敛定理,

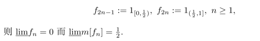
例1.1.1 设m是[0,1]上Lebesgue测度.定义

下面是Lebesgue控制收敛定理.
定理1.1.7 (Lebesgue)设{fn}是Ω上的可测函数序列,如果对任何ω∈Ω,{fn(ω)}收敛且存在一个关于μ可积的可测函数g满足|fn|≤g,则μ[lim fn]=limμ[fn].
证明.记f:=limn fn.因为{g-fn}与{g+fn}都是非负可测函数序列,利用Fatou引理,

在有限测度空间特别是在概率空间上,有界可测函数总是可积的,因而我们有下面的有界收敛定理.
推论1.1.1 设(Ω,F,μ)是一个有限测度空间,{fn}是Ω上的可测函数序列,如果对任何ω∈Ω,{fn(ω)}收敛且存在一个常数M使得|fn|≤M,则
![]()
下面我们介绍测度的绝对连续和Radon-Nikodym导数.设μ是可测空间(Ω,F)上测度,f是非负可测函数,定义

练习1.1.8 设μ,ν是(Ω,F)上两个测度,ν是有限的.证明:ν≪μ当且仅当对任何ε>0,存在δ>0,使得μ(A)<δ蕴含着ν(A)<ε.
显然如果ν关于μ是Radon-Nikodym可导的,则ν≪μ,但一般地反之不对,如奇异测度与计数测度,它们是相互绝对连续的,但显然计数测度不可能关于奇异测度可导.但若μ是有限测度时,逆命题成立.
定理1.1.8 (Radon-Nikodym)设μ与ν分别是可测空间(Ω,F)上一个有限测度和有限符号测度.如果ν≪μ,则ν关于μ可导.
注意上面定理的证明中实际上证明了如果没有绝对连续性假设,那么ν=g·μ+λ,其中μ(Dc)=λ(D)=0.这时测度μ与λ称为互相奇异,上述分解称为Lebesgue分解.
在本节最后我们介绍乘积测度空间与Fubini定理.设
![]()
是两个σ-有限测度空间,记
![]()
则F1⊗F2是乘积空间Ω1×Ω2上的一个π-类.令F1×F2:=σ(F1⊗F2),称为是乘积σ-代数.
任取Ω1×Ω2上非负可测函数f,容易验证

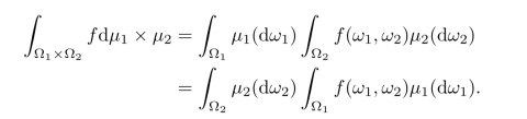
是可测函数,由单调类定理,当μ1,μ2都是σ-有限时,对任何非负可测函数f有

上式实际上定义了一个乘积空间上的乘积测度μ1×μ2,而且当两者是σ-有限时,乘积可以交换.这时我们有下面的Fubini的积分序交换公式.
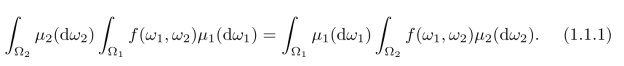
定理1.1.9 (Fubini)设(Ω1,F1,μ1)和(Ω2,F2,μ2)是两个σ-有限测度空间,f是(Ω1×Ω2,F1×F2)上的可测函数.如果f是非负的或者可积的,则二重积分等于累次积分

例1.1.2 Fubini定理条件中的σ-有限性是必需的.设I=[0,1],μ1,μ2分别是I上的Lebesgue测度与计数测度.令
![]()
那么容易计算

因此Fubini定理不成立,原因是计数测度不是σ-有限的.