§1.2 随机变量与收敛性
定义1.2.1 一个三元组(Ω,F,P)称为是一个概率空间,如果Ω是一个非空集合,F是Ω上的σ-代数且P是(Ω,F)上的一个概率测度.这时候,也称Ω是样本空间,F为事件域,F中的元素为事件,而P是概率.
首先让我们考虑Euclid空间,空间(Rn,Bn)上的一个概率测度称为是一个n-维分布.一个1-维分布简称为分布.
下面的正则性结果实际上对所有度量空间上的概率测度都成立.
定理1.2.1 设μ是Rd上的一个分布,则对任何Borel集B,有

因此B∈F.
再证明F包含了所有开集.事实上,设G是开集,记Fn={x∈Rd:d(x,Gc)>1/n},n≥1,其中d是度量,则有Fn↑G,从而μ(Fn)↑μ(G),即G∈F.

那么A0是π-类,且σ(ξi:i∈I)=σ(A0).
设ξ是Ω上的n-维随机向量,记μξ(或记ξ(P),P°ξ-1)是概率P在ξ下的像测度,它是Rn上的一个分布,称为ξ的(联合)分布,对应的分布函数称为是ξ的分布函数.给定分布μ,如果存在概率空间(Ω,F,P)及其上随机变量ξ使得μξ=μ,称ξ是μ(在概率空间(Ω,F,P)上)的一个实现.显然任何随机向量都可以实现,比如在概率空间(Rn,B(Rn),μ)上的恒等映射的分布恰是μ,这个实现称为是典则实现,注意其可测空间与随机变量与μ无关.两个随机变量称为是同分布的,如果它们有相同的分布或分布函数.一个分布通常可以有不同的实现.不仅是指实现为相同概率空间上的不同随机变量,而且也可实现在完全不同的概率空间上.
如果一个随机变量ξ关于概率测度P可积,则其积分P[ξ]通常称为是ξ的数学期望或均值,常理解为ξ在Ω上的平均,在概率论中传统或者习惯地写为E[ξ].另外ξ在A∈F上的积分也常记为E[ξ;A].由变量替换公式得

注意符号P与E没有本质区别,P习惯用于事件的概率,而E用于随机变量的期望,或者P(A)=E[1A].进一步地,设f是R上Borel-可测函数,则f°ξ也是随机变量,如果可积,由变量替换公式和定理1.1.5 ,有

上式右边是Lebesgue-Stieltjes意义的积分,当f连续时是Riemann-Stieltjes意义的.
我们接着介绍随机变量序列的收敛性,在随机分析中非常有用,最有用的是下面简单的引理.
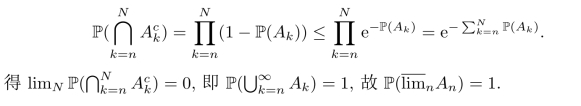
定理1.2.2 (Borel-Cantelli)设{An}是事件列.

(2)对n<N,由于{An}独立,

定义1.2.2 设{ξn}是一个随机变量序列,ξ是一个随机变量.
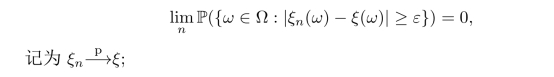
(1)称{ξn}依概率收敛于ξ,如果对任何ε>0,

(2)称{ξn}几乎处处(或概率1)收敛于ξ,如果

(3)称{ξn}Lr-收敛于ξ(r≥1),如果ξn,ξ∈Lr(Ω)且
(https://www.daowen.com)
从而由Fatou引理

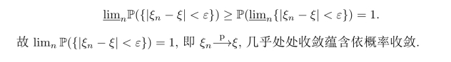
定理1.2.3 设{ξn}是一个随机变量序列,ξ是一个随机变量.

第三点的证明就是利用Borel-Cantelli引理.为了进一步阐述极限和期望之间的交换问题,我们引入一致可积的概念,它本身也是概率论中最为重要的概念之一.
定义1.2.3 一个可积随机变量族{ξi:i∈I}称为是一致可积的,若
![]()
显然,如若{ξi:i∈I}被一个可积随机变量所控制,则{ξi}是一致可积的.下面定理给出一致可积的一个等价条件.
定理1.2.4 设{ξi:i∈I}是可积随机变量族.则它是一致可积的充要条件是
(1)一致绝对连续:对任何ε>0,存在δ>0使得当A∈F,P(A)<δ时,supi∈I E[|ξi|;A]<ε;
(2)L1-有界:supi∈I E[|ξi|]<∞.
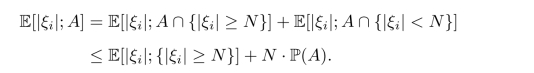
证明.必要性.对任意A∈F,N>0,有

运用一致可积性,推出{ξi}是一致绝对连续的.再在上式令A=Ω,得
![]()
得到{ξi}的L1-有界性.
充分性.设{ξi}是一致绝对连续且L1-有界的.由Chebyshev不等式,当N→∞时,

从而由{ξi}的一致绝对连续性得到,对任何ε>0,存在N>0,使得
![]()
即一致可积性.
练习1.2.1 下面是两个一致可积的充分条件:
(1)被一个可积随机变量控制的随机变量集{ξi:i∈I}一致可积;
(2)设{ξn}是随机变量列,存在p>1使得supn E[|ξn|p]<∞,证明:{ξn}是一致可积的.

充分性.对任意ε>0,
