§1.4 条件数学期望
条件数学期望是随机分析理论中一个极其重要的概念,在Markov过程和鞅的研究中是不可或缺的.它与概率论中条件概率的概念有相类似的地方而又有本质的区别.下面我们先给出其定义.
定义1.4.1 设(Ω,F,P)是一个概率空间,A是F的子σ-代数,ξ是(Ω,F,P)上可积随机变量,ξ关于A的条件数学期望,记为E[ξ|A],是指满足以下条件的随机变量η:
(1)η是A可测的;
(2)对任何的B∈A,E[ξ;B]=E[η;B].
特别地,记P(B|A):=E[1B|A],称为B关于A的条件概率.另外,如果{ξi:i∈I}是一族随机变量.我们记E[ξ|ξi:i∈I]:=E[ξ|σ(ξi:i∈I)].
首先我们需要证明条件数学期望的存在性与唯一性.事实上,对A∈A,令μ(A):=E[ξ;A],则μ是(Ω,A)上的有限符号测度,再令PA是P在A上的限制,那么容易验证μ≪PA且其Radon-Nikodym导数满足定义中的条件(1)与
(2),因此是一个条件数学期望.另外容易知道条件数学期望在几乎处处相等的意义之下是唯一的.以后如无特别说明,有关条件数学期望的等式或不等式都是在几乎处处相等的意义之下.定义中,加在ξ上的可积性条件可以减弱,有许多书与文章专门讨论此类问题.但在本书中我们仅讨论可积的情况.
练习1.4.1 这里给出存在性的另外一个证明.
1.如果ξ∈L2(Ω,F,P),令M:=L2(Ω,A,P),证明:E[ξ|A]是ξ在闭子空间M上的正交投影.
2.利用L2(Ω,F,P)在L1(Ω,F,P)中的稠密性,证明条件数学期望的存在性.
例1.4.1 设Ω1,···,Ωn是Ω的可测分划且P(Ωi)>0,1≤i≤n.令


上面的例子是简单情况下条件数学期望的直观解释.如将σ代数理解为信息,F即表示全部的信息.条件数学期望E[ξ|A]表示在已知信息A下ξ的局部平均,或对ξ的某种意义的最好估计.下面我们给出有关条件数学期望的一些性质.
定理1.4.1 设ξ,η,{ξn}是可积随机变量.
(1)E[ξ|F]=ξ;如果ξ与A独立,则E[ξ|A]=Eξ,特别地E[ξ|{Ω,∅}]=E[ξ];
(2)如果ξ=a,则E[ξ|A]=a a.s.;
(3)设a,b是常数,则E[aξ+bη|A]=aE[ξ|A]+bE[η|A];
(4)如果ξ≤η,则E[ξ|A]≤E[η|A];
(5)|E[ξ|A]|≤E[|ξ||A];(https://www.daowen.com)
(6)E[E[ξ|A]]=E[ξ];
(7)如果limnξn=ξa.s.且|ξn|≤η,其中η可积,则
![]()
证明.(1),(2),(3)都是显然的,为证(4),对任何A∈A,
![]()
而E[η|A]-E[ξ|A]是A可测的,故是非负的.(5)由(4)推出.(6)是下面定理1.4.2(2)的推论.为证(7),令Zn:=supk≥n|ξk-ξ|,则Zn↓0且|Zn|≤2η,由控制收敛定理EZn↓0.而
![]()
且E[Zn|A]是单调的,设其极限是Z,则Z是非负的,
![]()
因此E[Z]=0,即Z=0 a.s.
定理1.4.2 设ξ,η是随机变量.
(1)如果ξ是A可测的,且η和ξη是可积的,则E[ξη|A]=ξE[η|A];
(2)如果A⊂B都是F的子σ-代数,且ξ是可积的,则
![]()
证明.(1)只需对非负的ξ,η对就够了.因ξE[η|A]是A可测的,故我们只需验证对任意A∈A,有
![]()
当ξ是示性函数时,即ξ=1G,G∈A,上式显然成立,因此上式对A可测的简单函数成立,从而对非负可测函数成立.
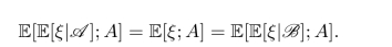
(2)首先E[ξ|A]是B可测的,因此必有E[E[ξ|A]|B]=E[ξ|A].另一方面,对A∈A,则A∈B,故
![]()
因此E[E[ξ|B]|A]=E[ξ|A].
这个定理有直观的解释,实际上是全概率公式的推广,读者可自己试着去理解.最后,我们还有重要的Jensen不等式.R的区间(a,b)上的凸函数φ是指对任何x,y∈(a,b)及p,q≥0,p+q=1,有
![]()
定理1.4.3 (Jensen)设ξ是可积随机变量,φ是R上的凸函数且φ(ξ)可积,则
![]()
证明.凸性保证φ的左右导数存在,令A是其右导数,则A递增且对任何x0∈R,A(x0)(x-x0)+φ(x0)≤φ(x),x∈R.将x,x0分别用ξ,E[ξ|A]代入:
![]()
如果E[ξ|A]有界,则上式左边两项有界,右边一项可积.因A是Borel可测的,故A(E[ξ|A])关于A可测.两边对A取条件数学期望得证Jensen公式.
一般地,令Gn:={E[|ξ||A]≤n}.则Gn∈A且Gn↑Ω.因此
![]()
由φ的连续性及控制收敛定理得上述公式.
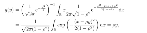
例1.4.2 设X,Y有连续的联合密度为f(x,y),让我们来算E[X|Y].因为E[X|Y]是Y可测的,故存在g使得g(Y)=E[X|Y].然后对任意y∈R有
![]()
应用联合密度得

其中fY是Y的密度函数.
设X,Y是正态分布的,边缘分布是标准正态的,相关系数是ρ.按照公式有E[X|Y]=g(Y),其中

因此E[X|Y]=ρY.更一般地,X,Y是正态分布,期望分别为a,b,方差分别为σ2,τ2,相关系数还是ρ,那么
![]()
因此E[X|Y]=ρσ(Y-b)/τ+a.
另外一种很常见的是下面的引理.
引理1.4.1 如果A是子σ-代数,X,Y是两个随机变量,X独立于A,Y是A可测的,则对任意非负或有界的f有
![]()
显然引理对于f(x,y)=1A(x)1B(y)成立,然后应用Dynkin引理对乘积可测集F的示性函数1F成立,再应用单调收敛定理即可.这种方法在概率论中是常用的方法,称为单调类方法.