§3.5 Brown运动的变差
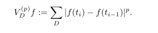
设f是[0,1]上的函数,p>0,对于一个分划D={ti},定义f在D上的p-变差为

1-变差就是通常的变差,2-变差称为二次变差.定义f的全变差为

当V f<+∞时,称f是有界变差的.
引理3.5.1 如果f是[0,1]上连续的有界变差函数,那么
![]()
其中D→0的意思是|D|=max|ti-ti-1|趋于零.
证明简单,留作练习.
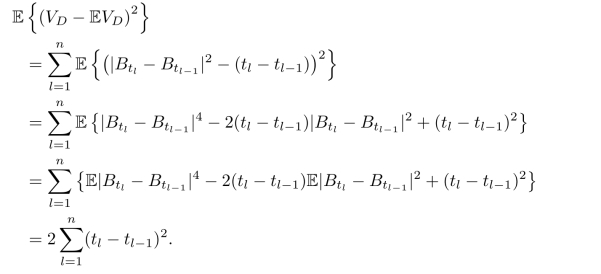
引理3.5.2 设
![]()
是区间[0,t]的有限分划,且设

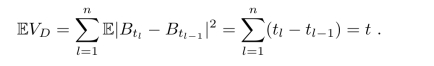
称为B在分划D上的二次变差,它是非负随机变量.那么
![]()
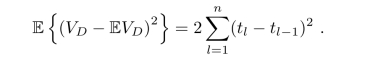
且VD的方差为

证明.事实上

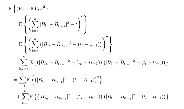
为证明第二个公式,我们如下计算

因为不同区间的增量是独立的,以上和式中的每个乘积的期望会等于期望的乘积,
故等于零.因此我们有

我们现在可以叙述下面的定理.
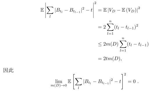
定理3.5.1 设B=(Bt)t≥0是一维标准Brown运动.那么对任何t>0,在L2意义下,

其中D是区间[0,t]上的有限分划,且(https://www.daowen.com)
![]()
证明.基于前面的引理,我们有

上面的收敛是依概率收敛.但若定理中的分划取得更好的话,上面的收敛可以变成是几乎处处的.
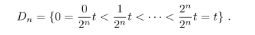
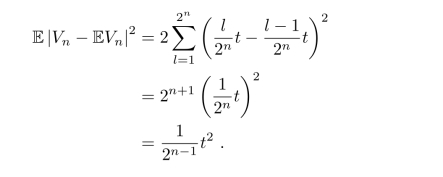
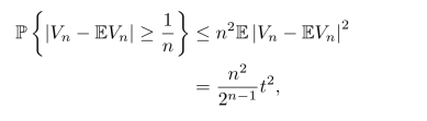
命题3.5.1设(Bt)t≥0是一维标准Brown运动.那么对任何t>0,当n趋于无穷时,有

证明.设Dn是[0,t]上的二分点分划,

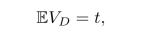
且用Vn表示VDn.由引理3.5.2 ,EVn=t且

因此由Markov不等式,

故而

这样由Borel-Cantelli引理得Vn→t几乎处处收敛.
事实上,几乎处处收敛的结论对于单调分划列都成立.更确切地说,对任何n,设
![]()
是[0,t]的有限分划.如果Dn+1⊃Dn且

那么当n趋于无穷时,

此结论由下面的命题与非负鞅列收敛定理直接推出,证明参见习题.
命题3.5.2用Mn表示(3.5.2)的左边,则以下随机序列
![]()
是一个非负鞅.
下面的结果是引理3.5.1 的推论.
推论3.5.1 Brown运动的几乎所有轨道在任何区间上都不是有界变差的.