§3.3 Brown运动的构造
存在性是定义一个概念时必须要首先说明的.首先介绍修正的概念,两个同样概率空间,同样状态空间和同样时间集上的随机过程{Xt}和{Yt}称为互为修正,如果对任何t有Xt=Yt a.s.显然两个互为修正的随机过程有相同的有限维分布族.
定理3.3.1 (A.Einstein,N.Wiener)Rd上存在有标准Brown运动.
证明.我们设d=1,对高维的证明是类似的.首先,我们应用Kolmogorov相容性定理构造一个概率空间(Ω,F,P)及其上的随机过程过程X=(Xt),使得它的有限维分布(密度)是由(3.1.3)给出.容易验证(Xt)t≥0满足Brown运动定义中的条件1,2.最重要的是,有下面的矩等式
![]()
因此我们需要修正随机过程{Xt}使得它的样本轨道连续.设
![]()
为非负二分点全体.显然D是R+的可数稠子集.我们要证明除掉一个零概率集外,所有轨道在D上是局部一致连续的,可以连续扩张.
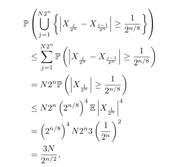
对固定正整数N,应用矩等式(3.3.1)中n=2的场合,

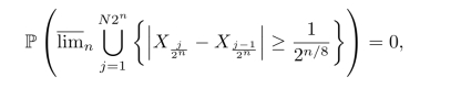
故由Borel-Cantelli引理推出

因此,如果记

那么它是可测集且有

因此,若ω∈Ω0,则对任何N,存在l使得对任何n>l与1≤j≤N2n,有

因为是对固定的ω叙述的,故问题可以转化成一个分析问题,可以证明(作为习题)对任何ω∈Ω0,{Xt(ω):t∈D}在任何有界区间上一致连续,它在[0,∞)上有唯一的连续扩张,记为{Bt(ω):t≥0}.若ω/∈Ω0,定义Bt(ω)=0.由定义,因为P(Ω0)=1,故(Bt)t≥0是一个连续的随机过程,且对任何t≥0,以及tn∈D,tn→t,有Xtn几乎处处收敛于Bt.剩下的事情就是证明(Bt)t≥0是X的修正,这是因为
![]()
故Xs平方收敛于Xt,因此Xt与Bt几乎处处相等.
最终我们留给读者一个数学分析的习题去证明(Xt(ω):t∈D∩[0,N])对任何N一致连续.
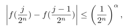
练习3.3.1 设α>0且f是D上的函数满足对任何N,存在l,使得对任何n≥l与1≤j≤N2n有
(https://www.daowen.com)
那么对任何N>0,存在常数CN,使得对任何s,t∈D∩[0,N],
![]()
即f是α-阶局部H¨older连续的.
提示:对任何s,t∈D∩[0,N]且|t-s|<2-l,存在m≥l,使得
![]()
设t左边的2-m分点为i2-m,那么t可以表示为
![]()
其中m<m(1)<···<m(k).由条件验证存在常数c1(α),使得|f(t)-f(i2-m)|≤c(α)2-αm.由此推出存在常数c2(α),使得
![]()
另外不难证明f在D∩[0,N]上是有界的,因此当|t-s|≥2-l时,
![]()
注意常数max|f|与l都与N有关.
Brown运动的构造有许多不同的方法.虽然是Wiener给出第一个完整的证明,但他的证明不是我们在前面给出的那个.Wiener原来的证明(见[15])是在空间C([0,1])上构造一个非负线性泛函,然后证明它是个测度,后来称为Wiener测度.下面我们给出Wiener与Paley一起提供的另外一个应用Fourier级数的构造,它看上去也很有意思.参考本章习题中的(3.6.2)式.
练习3.3.2 设B=(Bt)是完备概率空间(Ω,F,P)上的Brown运动.μ是P通过典则映射Φ推送到典则空间(RT,BT)上的像测度,W是RT中的连续映射全体.证明:
(1)W不是可测集,且μ*(W)=0,μ*(W)=1,其中μ*与μ*分别是内测度与外测度;
(2)Φ-1(W)作为Ω的子集(一般也未必可测)的外测度与内测度都等于1,因此Φ-1(W)∈F.
即使W不可测也没关系,因为其外测度为1,我们可以把概率测度搬到W上.定义W上事件域
![]()
以及测度
![]()
那么(W,B(W),˜μ)是概率空间且其上的轨道过程与RT上的轨道过程等价.
练习3.3.3 证明:˜μ是良定义的,也就是说如果W∩A=W∩B,那么μ(A)=μ(B).再证明(W,B(W),˜μ)上的轨道过程与RT上的轨道过程等价.