§3.6 习题与解答
1.如果过程X,X′是右连续的(或左连续),那么它们互为修正蕴含着它们是不可区分的.
2.证明:若A∈ET,则存在T的可列子集K使得
![]()
3.说ET的一个子集A是可列决定的,如果存在一个可列集S⊂T,使得若x与y在S上相等,则x∈A当且仅当y∈A.证明:
(a)ET中的集合是可列决定的.
(b)如果E是多于一个点的度量空间,那么T到E的连续轨道全体不在ET中.
4.X=(Xt:t∈T)是实值右连续随机过程.证明supt∈[a,b]Xt是(广义实值)随机变量.对x=(x(t))∈R[0,1],定义

证明:f作为R[0,1]上的函数关于B(R)[0,1]不可测.
5.(Kolmogorov)设T>0.如果存在正常数α,β,C使得实值过程X满足对任何t,h>0,t,t+h∈[0,T],有
![]()
仿照Brown运动存在的证明方法证明:X有连续修正.
6.(*)对任何α∈(0,1],证明:
(a)存在Gauss过程{ξt:t∈R}使得
![]()
(b)过程有连续修正,称为分数Brown运动.
7.证明:概率空间([0,1],B([0,1]),P)上不可能有不可数个非常数的独立随机变量,其中P是Lebesgue测度.
8.在后面几个问题中,设B=(Bt)是标准Brown运动.设r<s<t.求E0(Bs|Br,Bt).
9.(*)一个F的子σ-代数称为有0-1律,如果它仅含有概率为0或1的集合.问Brown运动的尾σ域
与初芽σ域
是否有0-1律?
10.证明:
![]()
11.(*)证明:对任何tn↓0,有
![]()
12.设B=(B(t):t∈T)是1-维标准Brown运动,令
![]()
证明:X是具有Markov性的中心化Gauss过程,计算X的协方差函数.由此证明X是平稳过程(注意不是平稳增量过程),即其有限维分布平移不变:对任何t1,···,tn,t>0,(Xt+t1,···,Xt+tn)与(Xt1,···,Xtn)同分布.过程X称为是Ornstein-Ulenbeck过程.
13.设a>0,b是实数,令τ:=inf{t>0:Bt>a+bt}为Brown运动首次跨越直线的时间,求P(τ<+∞).当此概率等于1时,求τ的Laplace变换.
14.设B是d-维标准Brown运动,
(a)证明:对任何x∈Rd,||x||=1,〈x,Bt〉是1-维标准Brown运动;
(b)对r>0,令Tr:=inf{t:|Bt-B0|≥r}.对x∈Rd,证明:Px(Tr<∞)=1;
(c)证明分布Px(BTr∈·)是球面{y:|y-x|=r}上均匀分布.
15.Brown运动还可以用Fourier级数的方法产生(Wiener).设{ξn:n≥0}是概率空间(Ω,F,P)上的都服从标准正态分布的独立随机变量序列(请说明其存在性).函数

是L2([0,π]的标准正交基,依次记为{en:n≥0}.对任何f∈L2([0,π]),令(https://www.daowen.com)
![]()
其中{an}是f的Fourier系数:an:=〈f,en〉.显然

即H是L2([0,π])到L2(Ω,F,P)的一个等距嵌入.对t∈[0,π],显然1[0,t]的Fourier级数为

证明:适当加括号后,

在t∈[0,π]以概率1一致收敛.因此(Xt)是连续过程,再证明它在[0,π]上是Brown运动.
提示:令

现在取n=2m得

16.(Wald等式)设B是标准Brown运动,σ,τ是两个可积停时且σ≤τ.证明:

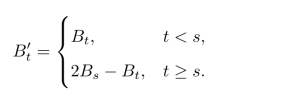
17.(固定时间的反射原理)设B=(Bt)是标准Brown运动,对任意s>0,定义

证明B′=(B′t)也是标准Brown运动.实际上B′是将B在时间s处之后的轨道沿着直线y=Bs反射所得到的.
18.(停时处的反射原理)上题结论当s被停时代替时也成立.
19.证明命题3.5.2.
证明.(赵敏智提供)需要证明
![]()
为简单起见,设D1={0,t},D2={0,s,t},
![]()
不妨设Brown运动是轨道型的,对任意ω∈Ω与s>0,令

那么由Brown运动的反射引理,且当s是Mn中的一个分点时,Mn°θ=Mn,故而
![]()
因此上式为零,(3.6.3)式成立.
20.设(Xt,Yt)是二维标准Brown运动,对s>0,Ts是X对于s的首中时,令
![]()
证明:Z=(Zs)是L´evy过程(除了右连续性外),计算其L´evy指数.(提示:Y与Ts独立,然后证明可以应用Fubini定理.)
21.(思考题)设W=C[0,1],(W,B(W),μ)是Wiener空间.对于h∈W,定义W上的平移变换
