§4.4.4 扩展至连续半鞅
最后我们将把随机积分理论扩展至最有用的半鞅类.一个适应连续随机过程X=(Xt)t≥0是个连续半鞅,如果X具有分解
![]()
其中(Mt)t≥0是连续局部鞅,(Vt)t≥0是初值零的连续适应有界变差过程.由定理4.3.1,这个分解是唯一的,称为X的半鞅分解.半鞅的空间是线性空间,我们在后面可以看到,半鞅对乘积封闭(分部积分公式),也对二次可微函数的复合封闭(It
公式).
如果g是[0,+∞)上的连续函数,在任何有界区间上有界变差
![]()
其中D取遍[0,t]的任何有限分划(对任何固定的t≥0),那么对[0,∞)上任何Borel可测函数f,

被理解为Lebesgue-Stieltjes积分.如果更多地,s→f(s)是左连续的,那么

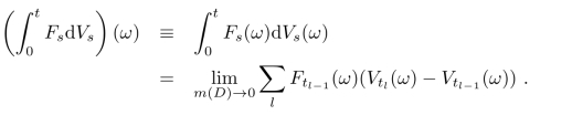
右边作为Riemann-Stieltjes和的极限存在.因此,如果V=(Vt)t≥0是个连续有界变差过程,F是左连续过程,那么

是一个按轨道以Riemann-Stieltjes积分意义定义的随机过程:
(https://www.daowen.com)
如果(Ft:t≥0)是个左连续适应过程,那么随机积分的定义可以显然的方式扩展至连续半鞅,即

其中右边第一项是相对于连续局部鞅的It
积分,它也是连续局部鞅,由定理4.4.6,它是取左端点值的Riemann和依概率收敛的极限;第二项是通常的Lebesgue-Stieltjes积分,它是Riemann和几乎处处收敛的极限.由此在依概率收敛的意义下,我们有

注意到这个极限一般不是几乎处处的,即随机积分不能理解为按轨道来定义的.另外连续半鞅的二次变差过程也是存在的.
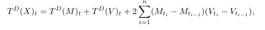
命题4.4.1连续半鞅X=M+V的二次变差过程〈X〉存在且〈X〉=〈M〉.
证明.对[0,t]上任何分划D,有

当m(D)=max1≤i≤n|ti-ti-1|→0时,其中第一项依概率趋于〈M〉t,第二项几乎处处因此依概率趋于0,而由Cauchy-Schwarz不等式,第三项被

控制,因而也依概率趋于0.因此命题的结论成立.
由此推出连续半鞅X=M+V与Y=N+W的协变差存在且等于其鞅部分的协变差〈X,Y〉=〈M,N〉.