§4.4.2 Kunita-Watanabe不等式

那么K就是前一节中定义的随机积分F.M,因为它恰是定理4.4.3 中的刻画.
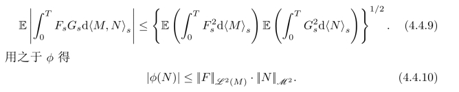
定理4.4.5 线性泛函φ的表示恰是随机积分F.M.
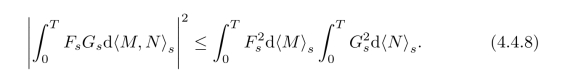
最后还需要一个重要的不等式说明线性泛函φ的有界性.首先由协变差过程的定义和Cauchy-Schwarz不等式,在几乎所有样本轨道上有

那么对于简单过程F,G,几乎处处地有

取极限推出不等式对于可测的随机过程F,G成立.这个不等式与概率无关,因为它是对轨道成立的.对这个不等式取期望,再应用Cauchy-Schwarz不等式推出下面的不等式,它被称为Kunita-Watanabe不等式:

最后,这个不等式正好可以完成定理4.4.3 的证明中需要完成的极限过程(留作练习).通常我们把此公式作为随机积分的刻画.
练习4.4.1 证明(4.4.7).