§6.2.2 几何Brown运动

§6.2.2 几何Brown运动

考虑Black-Scholes模型

图示

方程(6.2.3)的解是半鞅

图示

的随机指数

图示

当σ与μ为常数时,

图示(https://www.daowen.com)

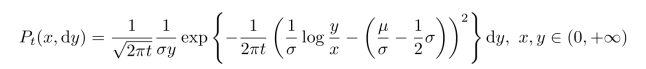
它称为几何Brown运动.若S0=x>0,则St还是正的,且

图示

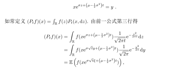
其中我们假设σ>0,做变量替换

图示

其中ξ~N(0,1).比较Pt(x,dy)的定义,我们得

图示

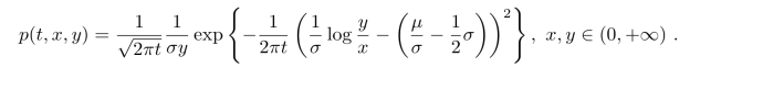
即(St)有转移概率密度

图示