1.3.1 n阶行列式的定义
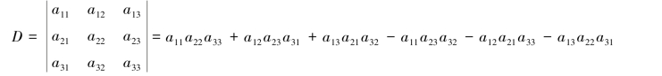
由三阶行列式定义知

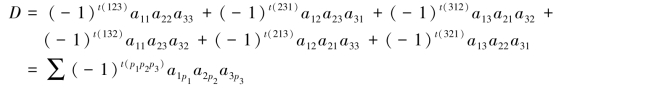
由于t(123)=0,t(231)=2,t(312)=2,t(132)=1,t(213)=1,t(321)=3,因此行列式D又可以表示为

其中,t(p1p2p3)为排列p1p2p3的逆序数;Σ表示对1,2,3三个数的所有排列p1p2p3取和.这是三阶行列式的又一种定义形式.
将三阶行列式这种定义形式推广到n阶,即得到n阶行列式的概念.
定义1.3.1 称

为n阶行列式,其值等于所有取自不同行不同列的n个元素乘积的代数和

下面介绍几种特殊类型的行列式.