2.4.1 分块矩阵的概念

2.4.1 分块矩阵的概念

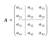
设A是一个矩阵,我们在它的行或列之间加上一些直线,把这个矩阵分成若干个小块,例如,设A是一个4×3矩阵:

图示

我们可以把它分成如下的四块:

图示

用这种方法被分成若干个小块的矩阵称为分块矩阵,每一个小块称为A的一个子块.

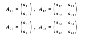
在一个分块矩阵中,每一个小块也可以看成一个矩阵.例如,上面的分块矩阵A是由以下四个矩阵组成的:(https://www.daowen.com)

图示

我们可以把A简单地写成

图示

对一个矩阵来讲,可以有各种不同的分法.例如,对上述矩阵A,还可采用以下分块形式:

图示