3.6 分光计
分光计是一种精确测量光线偏转角度的光学仪器,主要用来测定棱镜的顶角、光束的偏向角等。 配合分光器件(如棱镜、光栅等)还可以观察光谱,完成全偏振角、晶体(或液体)折射率、光波波长等物理量的测量,其用途十分广泛。 分光计结构精密、调节技术复杂,操作训练要求严格。 因此,使用时必须按照要求和步骤细心、耐心调节,方能获得较高精度的测量结果。学习分光计的结构原理、调节方法和技巧,有助于掌握更为复杂的光学仪器(如单色仪、摄谱仪等)的操作和使用。
【实验目的】
①了解分光计的构造,学习分光计的原理和调整方法。
②学会用分光计测量光的偏转角度。
③通过测量三棱镜的顶角、最小偏向角,测定棱镜折射率。
【预习思考题】
①分光计测量角度时,如何读数?
②分光计游标盘上为什么要安装两个相差180°的读数游标?
③何为最小偏向角? 如何测量三棱镜的顶角?
【实验原理】
一束平行光经过三棱镜,在AB、AC 两个面上发生折射,如图3.24 所示,出射线方向偏离入射方向,出射线和入射线之间的夹角δ 称为偏向角。 偏向角的大小与光线在AB 面的入射角度有关,对确定的棱镜,改变入射角(在入射光线方向不变时,改变棱镜的取向),可发现偏向角存在一个极小值,即最小偏向角δmin。
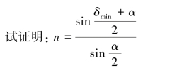
可以证明棱镜材料的折射率n、棱镜的顶角α 以及最小偏向角δmin 之间有如下关系:

图3.24 棱镜折射率的测量原理

所以测得最小偏向角δmin 和三棱镜的顶角α,即可求出材料的折射率。
【实验仪器】
JJY 型分光计、三棱镜、钠光灯等。
JJY 型分光计主要由望远镜、读数装置、载物平台和平行光管4 个部分组成,如图3.25所示。

图3.25 JJY 型分光计
1—狭缝装置;2—狭缝装置锁紧螺旋;3—平行光管部件;4—制动架Ⅱ;5—载物平台;6—载物台调平螺旋(3 只);7—载物台锁紧螺旋;8—望远镜部件;9—目镜锁紧螺旋;10—阿贝式自准直目镜;11—目镜视度调节手轮;12—望远镜光轴高低调节螺旋;13—远镜光轴水平调节螺旋;14—支臂;15—望远镜微调螺旋;16—转座与度盘止动螺旋;17—望远镜止动螺旋;18—制动架Ⅰ;19—底座;20—转座;21—度盘;22—游标盘;23—立柱;24—游标刻度盘微调螺旋;25—游标盘止动螺旋;26—平行光管轴水平调节螺旋;27—平行光管光轴高低调节螺旋;28—狭缝宽度调节手轮
1.望远镜
望远镜采用阿贝式自准直望远镜,其结构如图3.26 所示。 分划板上有一个紧贴的直角三棱镜,棱镜的直角面上有一个被下面光源照亮的小绿“十”字,其中心与分划板上叉丝的交点对称。

图3.26 阿贝式自准直望远镜
望远镜可以绕分光计的中心轴转动,可以用制动螺钉固定在游标盘的某一位置上,此时它的角位置可由游标盘的读数装置读出。
2.读数装置
读数装置由刻度盘和游标盘组成,读数方法与游标卡尺类似,如图3.27 所示,刻度盘上每一小格的值为0.5°(30′),游标盘上每一小格的值为1′。

图3.27 读数装置
为了消除刻度盘和游标盘与分光计中心轴的偏心差,在游标盘上有两个角游标,分别置于对称位置。 测量一个角度时,两个角游标都要读数,算出各自的读数差,再取平均值。
3.载物平台
载物平台用来放置光学元件,它可绕分光计的中心轴转动。 松开平台固定螺旋,平台也可沿中心轴升降。 平台下底面有3 个调节螺旋,用来调节平台的水平。
4.平行光管
平行光管将光源的光变成平行光束。 狭缝调节螺旋可调节狭缝的宽度,松开固定螺旋可使狭缝前后移动到平行光管物镜的焦平面上,这样,光线通过狭缝后以平行光射出。
【实验内容及步骤】
1.分光计的调整
基本要求有两点:望远镜聚焦于无穷远,其光轴与分光计中心轴垂直;平行光管射出平行光,其光轴与分光计中心轴垂直。
(1)目测粗调
目测调整使载物平台平面、望远镜光轴、平行光管光轴大约与分光计中心轴垂直。
(2)望远镜调焦

图3.28 叉丝较模糊的像和叉丝清晰的像
①目镜调焦:旋转目镜调焦手轮,使目镜视场中分划板上的叉丝与小绿“十” 字变清晰,如图3.28 所示。
②物镜调焦:载物平台紧贴台基面,平面镜置于台上,镜面与载物平台下螺旋G2、G3 的连线垂直,如图3.29 所示;镜面与望远镜光轴大约垂直,调望远镜下的螺旋改变俯仰角度,左右转动载物平台,使能看到绿“十”字反射像,如图3.30 所示;调节目镜筒与物镜的相对位置,使绿“十”字及其反射像都十分清晰;眼睛左右移动,微调目镜调焦手轮使绿“十”字反射像与叉丝无相对位移从而消除视差。

图3.29 物镜调焦1

图3.30 物镜调焦2
(3)调整望远镜光轴和载物平台平面与分光计中心轴垂直
①旋转载物平台并调节望远镜的俯仰角度,使平面镜前后两面反射的绿“十”字反射像都在目镜视场内,如图3.31(a)所示。

图3.31 调整望远镜光轴和载物平台平面与分光计中心轴垂直
②用“各半”调节法使绿“十”字反射像位于上叉丝横线。 设其中一个反射像与上叉丝横线距离为h,调节载物平台下螺旋G2 或G3,使h 减小为h/2 ,如图3.31(b)所示,再调望远镜的俯仰角度,使绿“十”字反射像位于上叉丝横线,如图3.31(c)所示。
③旋转载物平台,用上面的方法使相反镜面的绿“十”字反射像位于上叉丝横线。
④平面镜转动90°,旋转载物平台如图3.31(d)所示放置,调节载物平台下螺钉G1 ,使绿“十”字反射像与上叉丝十字线重合。
(4)调整平行光管与分光计中心轴垂直
①点燃钠灯,松开狭缝锁紧螺旋,调节狭缝与平行光管透镜的距离,使狭缝在望远镜视场中清晰成像,并与叉丝无视差,如图3.32(a)所示。

图3.32 调整平行光管与分光计中心轴垂直
②调整狭缝宽度约为0.3 mm,调节平行光管下的水平调节螺旋,使狭缝像位于图3.32(b)所示位置。 固定狭缝锁紧螺旋和目镜锁紧螺旋。
2.测量三棱镜的顶角
(1)反射法测顶角(https://www.daowen.com)
三棱镜放在载物平台上,平行光管射出的平行光经棱镜的AB、AC 面反射后,分别射向位置Ⅰ和位置Ⅱ处的望远镜,如图3.33 所示。

图3.33 反射法测顶角
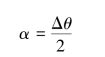
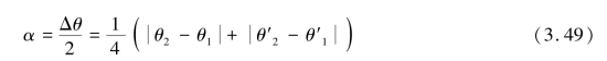
由反射定律和三角关系可知,望远镜从位置Ⅰ转到位置Ⅱ所转过的角度Δθ 与三棱镜顶角α 之间的关系为

测定望远镜在位置Ⅰ的角坐标θ1、θ′1 以及位置Ⅱ的角坐标θ2、θ′2,即可得到三棱镜的顶角α:

注意:望远镜从位置Ⅰ转到位置Ⅱ时,若某一游标跨过刻度盘的0°线,此游标的读数应+360°(或-360°)。
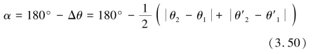
(2)自准法测顶角



图3.34 自准法测三棱镜的顶角
3.最小偏向角的测量
①把棱镜底边靠近平台边缘,旋转平台,使棱镜的位置相对平行光管及望远镜大约对称(先令底边在观察者的左面,如图3.35 所示),在望远镜中找到狭缝的像。 将平台左右旋转,并使望远镜随像而转,同时注意像的移动方向,使平台往偏向角减少的方向转动,也就是使像向右移动。 当平台继续向该方向旋转至一定位置后,再转动平台,则狭缝的像向反方向移动。 此回转点就是最小偏向角的位置。 试验几次,准确地测定这个位置,从游标上记下这时望远镜的读数θ1、θ′1。

图3.35 测量最小偏向角
②取下棱镜,转动望远镜使之正对平行光管,记录望远镜此时的位置θ2、θ′2,最小偏向角由下式得出
![]()
③旋转平台与望远镜,使棱镜的底边和望远镜都在观察者的右方。 按照上述方法再次测量最小偏向角。
4.注意事项
①手持棱镜的非抛光表面,严禁用手触摸棱镜折射面,也不可用一般布或纸擦拭。
②狭缝不能闭拢,否则会损坏狭缝。
③分光计是较精密的光学仪器,各部件和螺丝转动时要轻,不要用力过大,以免损坏零件。
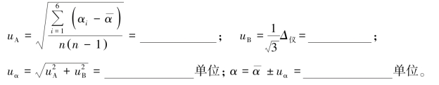
【数据处理与分析】
1.测量三棱镜的顶角α
测量三棱镜顶角数据见表3.12。
表3.12 测量三棱镜顶角数据

注:分光计的(Δ仪=1′)

2.测量钠谱线的最小偏向角δmin
测量最小偏向角数据见表3.13。
表3.13 测量最小偏向角数据(Δ仪=1′)


3.求折射率n

注意:本实验中所有的角度测量精确到分,平均值也取到分,n 的有效数字取4 位。
【课后讨论】
①调整分光计应达到什么要求? 主要分几步?
②用什么方法调节望远镜光轴与分光计中心转轴垂直?
③实验中如何确定最小偏向角的位置?
【附】
棱镜材料折射率与最小偏向角关系式证明


图3.36 棱镜折射率的测量
根据图3.36 中的几何关系可知:

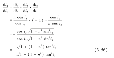
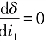
对于给定的棱镜,α 是固定的,δ 随i1 和i4 而变化。 在实验中可以观察到,当i1 变化时,δ有一极小值δmin,δmin 称为最小偏向角。 入射角满足什么条件时,δ 处于极值呢? 令
,则由式(3.53)得

结合式(3.52)和两折射面处的折射条件
![]()
得


可见,δ 取极值得条件是
![]()
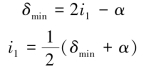
当i1=i4 时δ 取极小值δmin。 将式(3.57)代入式(3.53)得

于是棱镜的折射率n 为
