4.2 单臂电桥
电桥是一种利用电位比较法进行测量的仪器,由于它的灵敏度和准确度都比较高,所以,它在电磁测量技术中应用极为广泛。 电桥按其使用范围,可以分为交流电桥和直流电桥两大类,交流电桥主要用于测量电容、电感和频率等交流电量,直流电桥主要用于测量电阻或与电阻有函数关系的其他物理量。 根据结构不同,又可将电桥分为单臂电桥和双臂电桥,本节讲述单臂电桥,4.3 节讲述双臂电桥。 直流单臂电桥又称惠斯通电桥,主要用于精确测量10 ~106Ω 的中值电阻。
【实验目的】
①掌握直流单臂电桥测量中值电阻的原理和方法。
②掌握连接线路和排除故障的技能。
③掌握调节电桥平衡的操作方法。
【预习思考题】
①惠斯通电桥有由哪几部分组成?
②电桥平衡的条件是什么? 如何判断电桥平衡?
【实验原理】
用伏安法测量电阻时,除了因使用的电流表和电压表准确度不高带来的误差,还存在线路本身不可避免的系统误差。 在伏安法线路上经过改进的电桥电路克服了这些缺点。 它不用电流表和电压表(因而与电表的准确度无关),而是将待测电阻和标准电阻相比较以确定待测电阻是标准电阻的多少倍。 由于标准电阻误差很小,电桥法测电阻可以达到很高的准确度。

图4.5 惠斯通电桥
如图4.5 所示,其中a-E-B-RE-c 称为电桥的干路;a-R1-d、a-R2-b、b-Rs-c 和d-Rx-c 称为电桥的4 条臂路(通常桥臂c-d 接待测电阻Rx,其余各臂电阻都是可调节的标准电阻);b-G-RG-d 称为电桥的桥路(该桥路起了沟通a-b-c 和a-d-c 两条支路的作用,由检流计可直接比较b、d 两点的电势,电桥之名由此而来)。 当b、d 两点电位相等时,检流计的电流为零或桥路中无电流,这时称电桥达到了平衡。 此时
![]()
即
![]()
因为G 中无电流,所以,I2=Is,I1=Ix,上列两式相除,得

所以
![]()
式(4.9)即为电桥的平衡条件。 由式(4.10)可知,若R1、R2 为已知,只要改变Rs 值,使G中无电流,并记下此时的Rs,即可算得Rx。
【实验仪器】
QJ23 市电型电桥箱、待测电阻(若干)、导线(2 根)等。(https://www.daowen.com)
【实验内容及步骤】
①接待测电阻(接在Rx 接线柱c、d 之间)。
②正确选择电源电压及比率臂旋钮挡位(根据待测电阻标称值,在表4.1 中读取选定)。
表4.1 QJ23a 型电桥技术参数表

③对检流计调零(检流计电源杠杆开关接通,调节调零旋钮,使检流计指针指零)。
④测量(首先把灵敏度旋钮旋至最小,按下B、G 两键,同时由大到小先后调节比较臂各旋钮,使检流计最终指零,此时电桥达到平衡,最后松开G、B 两键。 然后再把灵敏度旋钮旋至最大,继续调节至平衡)。
注意:箱式电桥使用时,电源接通的时间均应很短,即不能将B、G 两按钮同时长时间按下,测量时,先按B 再按G,断开时,必须先断开G 后断开B。
⑤读数(先后读取比率臂k 值、电压值和电桥箱的准确度指标α 值,比较臂要记录灵敏度最大时电桥箱的读数)并记录于表4.2。
【数据处理与分析】
原始数据记录见表4.2。
表4.2 惠斯通电桥测量中值电阻

(1)计算
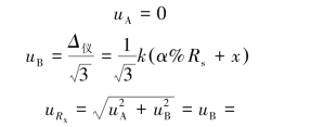
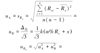
(2)计算各待测电阻的标准不确定度
对于单次测量

如果是多次测量

(3)写出测量结果

【课后讨论】
当电桥达到平衡时,若互换电源和检流计的位置,电桥是否仍保持平衡? 试证明之。