4.1 电位差计
用电位差计测量未知电动势(电压),就是将未知电压与电位差计上的已知电压相比较。这时被测量的未知电压回路无电流,测量结果仅仅依赖于准确度极高的标准电池、标准电阻以及高灵敏度的检流计。 电位差计的测量准确度可达到0.01%,甚至更高。 由于上述优点,电位差计是精密测量中应用最广的仪器之一,不但用来精确测量电动势、电压、电流和电阻等,还可以用来校准精密电表和直流电桥等直读式仪表,在非电参量(如温度、压力、位移和速度等)的电测法中也占有重要地位。
【实验目的】
①掌握电位差计的工作原理和结构特点。
②学习用箱式电位差计测量电动势。
【预习思考题】
①电位差计测电动势是应用什么原理和方法?
②箱式电位差计测量电动势有哪些主要环节?
【实验原理】
1.补偿原理
若将电压表并联到电池两端,如图4.1 所示,就有电流I通过电池的内部。 由于电池内有电阻r,在电池内部不可避免地存在电压降Ir,因而电压表的指示值只是电池端电压的大小,即
![]()

图4.1 电压表并联到电池两端
显然,只有当I=0 时,电压两端的电压V 才等于电池电动势Ex。
怎样才能使电池内部既没有电流通过而又能测定电池的电动势Ex 呢? 这就需要采用补偿法。
如图4.2 所示,接通K1 后,有电流I 通过电阻丝AB,并在电阻丝上产生电压降落IR。 如果再接通K2,可能出现以下3 种情形:
①当Ex>VCD 时,G 中有自右向左流动的电流(指针偏向一侧)。
②当Ex>VCD 时,G 中有自左向右流动的电流(指针偏向另一侧)。
③当Ex>VCD 时,G 中无电流,指针不偏转。 我们将这种情形称为电位差计处于补偿状态,或者说待测电路得到了补偿。

图4.2 补偿原理
在补偿状态时Ex=IRCD,设每单位长度电阻丝的电阻为r0,CD 段电阻丝的长度为Lx,于是
![]()
将可变电阻Rn 的滑动端固定,即保持工作电流I 不变,再用一个电动势为ES 的标准电池替换图4.2 中的Ex,适当将C、D 的位置调至C′、D′,同样可使检流计G 的指针不变,达到补偿状态。 这时C′D′段电阻丝的长度为LS,则
![]()
将式(4.1)与式(4.2)相比得到


![]()
计算出LS,并取C、D 间电阻丝的长度为LS,调节可变电阻Rn,使检流计指针不偏转,以达到补偿状态。 这时电位差计被校准在A0 的给定值上,便可用它进行测量了。
2.箱式电位差计的工作原理
箱式电位差计是利用补偿测量原理制成的一个精密并且使用方便的仪器,其工作原理如图4.3 所示。

图4.3 箱式电位差计工作原理
ES—标准电池,Ex—被测电动势;K1—转换开关;G—检流计;K2—检流计开关;E—工作电源;Rx—被测电动势补偿电阻;RS—标准电池补偿电阻;Rn—工作电流调节变阻器
箱式电位差计有多种型号,但一般都包括以下3 部分:
①工作电流调节回路:主要由E、Rn、R1、R 等组成。(https://www.daowen.com)
②校正工作电流回路:主要由ES、RS、G、K2、K1(S)等组成。
③待测回路:主要由Ex、Rx、G、K2、K1(X)等组成。
电位差计在测量之前,首先应校正工作电流。 根据图4.3,将K1 置于“S”挡调节Rn 使检流计指零,则有
![]()
由式(4.5)得
![]()
式中的I 是流过RS 和Rx 上的电流,即为电位差计的工作电流。
工作电流调好以后,将转换开关K1 置于“X”挡,调节Rx 使检流计指零,得
![]()
这里的工作电流I 就是式(4.5)中的I 数值,故可得

【实验仪器】
UJ24 型直流电位差计(图4.4)、检流计、标准电池、待测电池、导线(若干)等。

图4.4 UJ24 型直流电位差计面板
【实验内容及步骤】
①电位差计上K1、K2 置于“断”, RP1、RP2、RP3 旋到中间位置,测量盘Ⅰ旋到“15”挡位。
②根据室内温度t,由公式Et=E20-0.000 040 6(t-20)-0.000 000 95(t-20)2,计算标准电池的温度补偿值,取到小数点后第5 位(E20=1.018 60),把Rnp 旋钮旋至与计算值后两位数字相同处(靠近原则)。
③把标准电池、待测电池、检流计与电位差计连接好,接好电源线。
④调整检流计。 检流计接通电源,挡位置于“调零”挡,调节“调零”旋钮,使指针指零;再将挡位置于“补偿”挡,调节“补偿”旋钮,使指针指零;然后将挡位转到“非线性”挡。
⑤校正工作电流。 打开电位差计电源,把K1 转到“标准”挡,K2 转到“粗”挡,调节RP1、RP2、RP3 三个旋钮,使检流计指针指零,然后把检流计开关转到100 μV 挡;把K2 旋到“中”挡,调节RP1、RP2、RP3,使检流计指零;再把K2 旋到“细”挡,调节RP1、RP2、RP3,使检流计指零,然后把K2 旋到“断”挡。
⑥测量待测电池电动势。 把K1 旋到“未知1”,K2 依次转到“粗”“中”“细”挡,分别调节测量盘Ⅱ、Ⅲ、Ⅳ、Ⅴ,使检流计指零,此时,5 个测量盘示值之和就是待测电动势Ex。
⑦重复步骤④、⑤、⑥,反复测量6 次,并记录数据。
【数据处理与分析】
1.计算Ex 的平均值
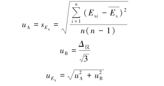
2.计算被测量电动势的标准偏差
UJ24 型直流电位差计仪误差:
![]()
式中α=0.5(准确度指标);US=1 V(基准值);x 为第Ⅴ级测量盘示值。
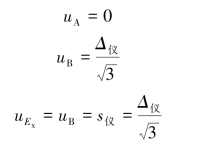
对于单次测量

如果是多次测量

3.电动势的测量结果

【课后讨论】
如果任你选择一个阻值已知的标准电阻,你能否用箱式电位差计测量一个未知电阻? 试写出测量原理,绘出测量电路图。