4.5 霍尔效应及霍尔法测磁场
置于磁场中的导体,如果电流方向与磁场方向垂直,则在垂直于电流和磁场的方向会产生一附加的横向电场,这个现象是霍尔于1879 年发现的。 霍尔效应不但是测定半导体材料电学参数的主要手段,而且随着电子技术的发展,利用该效应制成的霍尔器件,由于结构简单、频率响应宽(高达10 GHz)、寿命长、可靠性高等优点,已广泛应用于非电量测量、自动控制和信息处理等方面。
【实验目的】
①了解霍尔效应原理及霍尔元件的工作特性。
②掌握霍尔效应测量磁场的方法,测绘霍尔元件的VH-IS 曲线。
③了解长直螺线管轴向磁场的分布规律,测绘B-x 曲线。
④学习用“对称交换测量法”消除负效应产生的系统误差。
【预习思考题】
①何为霍尔效应和霍尔电压?
②已知霍尔样品的工作电流IS 及磁感应强度B 的方向,如何判断样品的导电类型?
③采用霍尔效应测磁场时具体要测量哪些物理量?
【实验原理】
1.霍尔效应原理
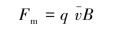
对于图4.20 所示的半导体试样,若在x 方向上通以电流IS,在z 方向加磁场B,试样中载流子(电子)将受洛仑兹力:
![]()
其中q 为载流子电量,
为载流子在电流方向上的平均定向漂移速率,B 为磁感应强度。

图4.20 霍尔效应原理
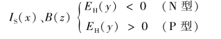
无论载流子是正电荷还是负电荷,Fm 的方向均沿-y 方向,在此力的作用下,载流子发生偏移,在y 方向开始聚积异号电荷,从而在试样A、A′两侧产生一个电位差,形成相应的附加电场EH——霍尔电场。 电场EH 的指向取决于试样的导电类型。 对N 型试样,霍尔电场EH 逆y方向,P 型试样EH 则沿y 方向,即

显然,该电场阻止载流子继续向侧面偏移,试样中载流子将受一个与Fm 方向相反的电场力:
![]()
Fe 随电荷积累增多而增大,直到载流子所受的电场力qEH 与洛仑兹力q
B 相等,样品两侧电荷的积累就达到平衡,故有
![]()
设试样的宽度为b,厚度为d,载流子浓度为n,则电流强度IS 与
的关系为
![]()
A、A′电极之间形成相对稳定的电压

VH 即为霍尔电压,与IS、B 成正比,与试样厚度d 成反比。

![]()
KH 称为霍尔元件的灵敏度,它表示该器件在单位工作电流和单位磁感应强度下输出的霍尔电压。 KH 越大,霍尔电压VH 越大,霍尔效应越明显
![]()
KH 与载流子浓度n 成反比,半导体的载流子浓度远比金属的载流子浓度小,因此用半导体材料制成的霍尔元件灵敏度较高,另外,KH 还与d 成反比,因此霍尔元件一般都用半导体制成而且很薄。 本实验采用的霍尔片的厚度d=0.2 mm,宽度b=1.5 mm,长度为1.5 mm。
霍尔效应的建立所需时间很短(10-14 ~10-12s),因此使用霍尔元件时用直流电或交流电均可。 只是使用交流电时,式(4.21) 中的IS 和VH 应理解为有效值。
应当注意:当磁感应强度B 和元件平面的法线成一角度时,作用在元件上的有效磁场是其法线方向上的分量B cos θ,此时
![]()
所以,一般在使用时应调整元件平面的方位,使VH 达到最大,即θ=0。
由式(4.21)可知,当工作电流IS 或磁感应强度B 两者之一改变方向时,霍尔电势VH 方向随之改变;若两者方向同时改变,则霍尔电势VH 极性不变。
2.霍尔元件测量磁场
(1)基本电路
如图4.21 所示,将霍尔元件置于待测磁场的相应位置,并使元件平面与磁感应强度B垂直。
在其控制端输入恒定的工作电流IS,霍尔元件的霍尔电压输出端接毫伏表,测量霍尔电压VH 的值,由式(4.23)求出B。


图4.21 霍尔元件测量磁场的基本电路
(2)霍尔电压的测量
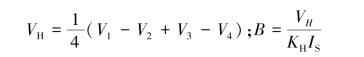
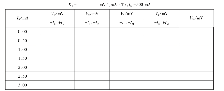
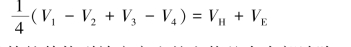
霍尔效应发生的同时还伴随着多种副效应,以致实验测得的电压V 并不等于霍尔电压VH值,而是包含着各种副效应引起的附加电压。 根据副效应的产生机制,采用电流和磁场换向的对称测量法,基本上能够把副效应的影响从测量的结果中消除。 具体的方法是IS 和IM(即B)的大小不变,并在设定电流和磁场的正、反方向后,依次测量由下列4 组不同方向的IS 和IM(B)组合的电压值V1、V2、V3、V4,即

然后求上述4 组数据V1、V2、V3、V4 的代数平均值,可得
![]()
对称测量法求得的VH,虽然还存在个别无法消除的副效应,但其导致的误差甚小,可以略而不计。
3.测量通电螺线管中磁场的分布
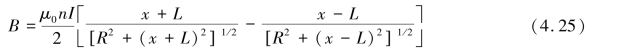
根据毕奥-萨伐尔定律,对于长度为2L,匝数为N1,半径为R 的通电螺线管,其轴线上离中心点距离为x 处的磁感应强度为


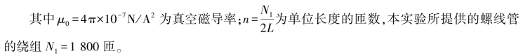
理论可以证明,对于“无限长”螺线管, L≫R,所以B=μ0nI;对于“半无限长”螺线管,在端点处有x=L,且L≫R,所以B=μ0nI/2。
测量电路由工作电流回路(E1、K1、R1、mA 表、KI、霍尔元件)、励磁电流回路(E2、K2、R2、A表、KM、螺线管绕线)和霍尔电压测量回路(霍尔元件、KH、mV 表)3 部分构成,如图4.22 所示。

图4.22 霍尔效应法测量磁场电路图
【实验仪器】
DH4512 型霍尔效应实验仪由实验架和测试仪两部分组成,用于研究霍尔效应产生的原理及其测量磁场的方法。 通过施加已知磁场,可以测出霍尔电压并计算霍尔元件的灵敏度;通过测得的灵敏度可以测量螺线管内部轴线上各点的磁场。
1.DH4512 型霍尔效应螺线管实验架
DH4512 型霍尔效应螺线管实验架平面图如图4.23 所示。

图4.23 DH4512 型霍尔效应螺线管实验架平面图
(1)相关参数
霍尔元件类型:N 型砷化镓半导体。
线圈匝数1 800 匝;有效长181 mm;等效半径21 mm。
横向移动距235 mm;纵向移动距离20 mm。
(2)继电器换向开关使用说明
单刀双向继电器的工作原理如图4.24 所示。 当继电器线包不加控制电压时,动触点与常闭端相连接;当继电器线包加上控制电压时,继电器吸合,动触点与常开端相连接。

图4.24 单刀双向继电器工作原理
实验架中,使用了3 个双刀双向继电器组成3 个换向电子闸刀,换向由接钮开关控制。
当未按下转换开关时,继电器线包不加电,常闭端与动触点相连接;当按下按钮开关时,继电器吸合,常开端与动触点相连接,实现连接线的转换。 由此可知,通过按下、按上转换开关,可以实现与继电器相连的连接线的换向功能。
2.DH4512 型霍尔效应测试仪
DH4512 型霍尔效应测试仪主要由0 ~0.5 A 恒流源、0 ~3 mA 恒流源、20 mV/2 000 mV量程3 位半电压表组成。(https://www.daowen.com)
DH4512 型霍尔效应测试仪面板如图4.25 所示。

图4.25 DH4512 型霍尔效应测试仪面板
(1)霍尔工作电流用恒流源IS
工作电压8 V,最大输出电流3 mA,3 位半数字显示,输出电流准确度为0.5%。
(2)磁场励磁电流用恒流源IM
工作电压24 V,最大输出电流0.5 A,3 位半数字显示,输出电流准确度为0.5%。
(3)霍尔电压测量用直流电压表
20 mV,量程3 位半LED 显示,分辨率10 μV, 测量准确度为0.5%。
(4)不等电位电势测量用直流电压表
2 000 mV 量程,3 位半LED 显示,分辨率1 mV, 测量准确度为0.5%。
3.电源
AC 220 V±10%,功耗50 VA。
【实验内容及步骤】
1.实验准备
按仪器面板上的文字和符号提示将霍尔效应测试仪与霍尔效应实验架正确连接。
①将霍尔效应测试仪面板右下方的励磁电流IM 的直流恒流源输出端(0 ~0.5 A),接霍尔效应实验架上的IM 磁场励磁电流的输入端(将红接线柱与红接线柱对应相连,黑接线柱与黑接线柱对应相连)。
②“测试仪”左下方供给霍尔元件工作电流IS 的直流恒流源(0 ~3 mA)输出端,接“实验架”上霍尔片工作电流输入端(将红接线柱与红接线柱对应相连,黑接线柱与黑接线柱对应相连)。
③“测试仪” VH 测量端接“实验架”中部的VH 输出端。
④用一边是分开的接线插、一边是双芯插头的控制连接线与测试仪背部的插孔相连接(红色插头与红色插座相联, 黑色插头与黑色插座相联)。
2.测量霍尔元件的不等位电势V0 和不等位电阻R0
①用连接线将中间的霍尔电压输入端短接,调节测试仪电压表的调零旋钮,使电压表显示0.00 mV。
②调节测试仪上励磁电流IM 的调节旋钮,将励磁电流IM 调节到最小。
③调节测试仪上工作电流IS 的调节旋钮,将工作电流值调为IS=3.00 mA,利用IS 换向开关,改变工作电流输入方向,分别测出零位霍尔电压V01、V02,并计算不等位电阻:

3.测量通电螺线管中磁感应强度B 及其分布
①将IM、IS 调零,调节中间的霍尔电压表,使其显示为0.00 mV。
②将霍尔元件置于螺线管轴线的中心位置处(旋动水平标尺旋钮,使固定霍尔元件水平标尺上的110 mm 刻线与水平轨道的刻线对齐,并约定此时x=0.0),调节IM=500 mA,调节IS=3.00 mA。 IS、IM 的正负换向由“实验架”上的接钮控制开关切换,测量霍尔电压V1、V2、V3、V4 值。
③将霍尔元件从轴线中心位置处向边缘方向移动,每间隔1 cm 选一个测试点,分别测出相应的V1、V2、V3、V4 值,将所采集的数据填入表4.7 中。
4.测量并研究霍尔电压VH 与工作电流IS 的关系
①将IM、IS 调零,调节中间的霍尔电压表,使其显示为0.00 mV。
②将霍尔元件置于螺线管轴线的中心位置处(旋动水平标尺旋钮,使固定霍尔元件水平标尺上的110 mm 刻线与水平轨道的刻线对齐)。
③调节IM=500 mA,调节IS=0.00 mA。 IS、IM 的正负换向由“实验架”上的接钮控制开关切换。 从IS=0.00 mA 开始,逐次递增0.50 mA,选一个测试点,分别测出相应的V1、V2、V3、V4值,将所采集的数据填入表4.8 中。
5.注意事项
①当霍尔元件未连接到实验架,并且实验架与测试仪未连接好时,严禁开机加电,否则,极易使霍尔元件遭受冲击电流而使霍尔元件片损坏。
②霍尔元件性脆易碎、电极易断,严禁用手去触摸,以免损坏。 在需要调节霍尔片位置时,必须谨慎。
③加电前必须保证测试仪的“IS 调节”和“IM 调节”旋钮均置零位(即逆时针方向旋足),严禁IS、IM 电流未调到零值就开机。
④测试仪的“IS 输出”接实验架的“IS 输入”,“ IM 输出”接“IM 输入”。 绝不允许将“IM 输出”接到“IS 输入”处,否则一旦通电,会损坏霍尔元件。
⑤由于移动尺的调节范围有限,在调节到两端后,不可继续调节,以免因错位而损坏移动标尺内部螺纹螺杆。
【数据处理与分析】
1.通电螺线管中磁感应强度B 及其分布
表4.7 螺线管磁场分布测量数据


绘制通电螺线管内部磁场的B-x 关系曲线。
2.霍尔电压VH 与工作电流IS 的关系
表4.8 霍尔电压VH 与工作电流IS 的关系测量数据


绘制VH-IS 关系曲线图,并验证其线性关系。
【课后讨论】
①在什么样的条件下会产生霍尔电压? 它的方向与哪些因素有关?
②在产生霍尔效应的同时,还会产生哪些副效应? 它们与磁感应强度B 和电流IS 有什么关系? 如何消除副效应的影响?
③选择半导体材料做霍尔器件时,主要考虑哪些参数?
【附】
实验系统误差及其消除
测量霍尔压VH 时,不可避免地会伴随一些副效应,由此而产生的附加电势叠加在VH 上,形成测量的系统误差,主要的副效应有下列4 种。
1.不等位电势V0
由于制造工艺的原因,测量霍尔电压的引线很难焊接在霍尔元件两侧的同一个等势面上,另外霍尔片电阻率不均匀、控制电流极的端面接触不良等都可能造成毫伏表两极不处在同一等位面上,此时虽未加磁场,但存在电势差V0,称为不等位电势差。 V0=ISR0,R0 是两等势面间的电阻。 可见,在R0 确定的情况下,V0 与IS 的大小成正比,且其正负随IS 的方向而改变。
2.爱廷豪森效应
当元件x 方向通以工作电流IS,z 方向加磁场B 时,由于霍尔片内的载流子的速度有快有慢,服从统计分布。 在达到动态平衡的过程中,由于磁场的作用,慢速、快速的载流子将在洛仑兹力和霍耳电场的共同作用下沿y 轴分别向相反的两侧偏转,这些载流子的动能将转化为热能,使两侧升温,并且造成y 方向上两侧的温差。 霍尔元件和霍尔电极两者的材料不同,电极和元件之间形成温差电偶,这一温差将产生温差电动势VE,VE∝ISB。 这一效应称爱廷豪森效应,VE 的大小和正负符号与IS、B 的大小和方向有关,跟VH 与IS、B 的关系相同,所以不能在测量中消除。
3.伦斯脱效应
由于控制电流的两个电极与霍尔元件的接触电阻不同,控制电流在两电极处将产生不同的焦耳热,引起两电极间的温差电动势,此电动势又产生温差电流(称为热电流)Q,热电流在磁场作用下将发生偏转,结果在y 方向上产生附加的电势差VP,且VP∝B。 这一效应称为伦斯脱效应,VP 的符号只与B 的方向有关。
4.里纪-杜勒克效应
如伦斯脱效应所述,霍尔元件在x 方向有温度梯度dT/dx,引起载流子沿梯度方向扩散而有热电流通过元件,在此过程中载流子受z 方向的磁场B 作用,在y 方向引起类似爱廷豪森效应的温差,由此产生的电势差VS∝B,其符号与B 的方向有关,与IS 的方向无关。
所以实际测量的电压为霍尔电压VH 与各种附加电压的代数和:
![]()
为了减少和消除以上效应所产生的附加电势差,利用这些附加电势差与霍尔元件工作电流IS,磁场B(即相应的励磁电流IM)的关系,采用对称(交换)测量法进行测量。
当+IS,+IM 时 V1=VH+V0+VE+VP+VS
当+IS,-IM 时 V2=-VH+V0-VE-VP-VS
当-IS,-IM 时 V3=VH-V0+VE-VP-VS
当-IS,+IM 时 V4=-VH-V0-VE+VP+VS
对以上四式作如下运算得:
![]()
可见,除爱廷豪森效应以外的其他副效应产生的电势差会全部消除。 在非大电流、非强磁场下,VH>>VE,因而VE 可以忽略不计,由此可得
![]()