4.3 双臂电桥
电阻按阻值大小大致可以分为三类:1 Ω 以下的为低电阻;1 Ω ~100 kΩ 的为中电阻;100 kΩ以上的为高电阻。 不同阻值的电阻,测量方法不尽相同,他们都有各自的特殊问题。 例如:用惠斯通电桥测中值电阻时,可以忽略导线本身的电阻和接点处的接触电阻(总称为电路的附加电阻)的影响,但用它测低值电阻时,附加电阻就不能忽略了。 一般说,附加电阻大约为0.001 Ω。 若所测低电阻为0.01 Ω,则附加电阻的影响可达10%。 如所测低电阻为0.001 Ω以下,就无法得出测量结果了。 在惠斯通电桥基础上加以改进而成的双臂电桥(又称开尔文电桥)消除了附加电阻的影响,适用于10-6 ~102 Ω 的电阻的测量。
【实验目的】
①掌握用直流双臂电桥测量低值电阻的原理和方法。
②用双臂电桥测量导体的电阻率。
【预习思考题】
四端电阻的电流端和电压端的含义是什么? 简述其在电路中避免附加电阻影响的原理。
【实验原理】
1.双臂电桥的原理
由4.2 节可知,单臂电桥电路有12 根导线和a、b、c、d 四个接点,如图4.5 所示。
其中由a、c 点到电源和由b、d 点到检流计的导线电阻可并入电源和检流计的内阻里,对测量结果没有影响。 但臂路中的8 根导线和4 个接点的电阻会对测量结果产生影响。 由于比率臂R1 和R2 可用阻值较高的电阻,因此和这两个电阻相连的4 根导线的电阻不会对测量结果带来多大影响,可以忽略不计。 如果待测电阻Rx 是一个低值电阻,那比较臂Rs 也应该是低值电阻,因此和Rx、Rs 相连的导线及接点电阻就会对测量结果产生影响。
为了消除上述电阻的影响,将对单臂电桥电路进行改造,进而成为如图4.6 所示的电路,即双臂电桥电路。 与图4.5 的电路比较可以看出,为避免图4.6 中由a 到Rx 和由c 到Rs 的导线电阻,可将其导线缩短,最好缩短到零,使a 点直接与Rx 相连,c 点直接与Rs 相连。 要消除a、c 点的接触电阻,进一步将a 点分成a1、a2 两点,c 点分成c1、c2 两点,使a1、c1 点的接触电阻并入电源的内阻,a2、c2 点的接触电阻并入R1、R2 的电阻中。 但图4.6 中d 点的接触电阻和由d 到Rx 及d 到Rs 的导线电阻就不能并入Rx、Rs 中,因而需在电路中增加R3、R4 两个电阻,让d 点移至跟R3、R4 及检流计相连,这样就只剩下Rx 和Rs 相连的附加电阻了。 同理,把Rx 和Rs 相连的两个接点各自分开,分成d1、d3 和d2、d4,这样d3、d4 的接触电阻并入附加的两个阻值较高的电阻R3、R4 中。 将d1、d2 用粗导线相连,并设d1、d2 间导线电阻与接触电阻的总和为r。 下面将证明,适当调节R1、R2、R3、R4 和Rs 的阻值,就可以消除附加电阻r 对测量结果的影响。

图4.6 双臂电桥
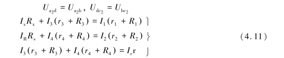
在图4.6 中,当IG=0 时,b、d 两点的电势相等(即φb=φd),此时电桥处于平衡状态,根据电压回路方程可知

由电路分析可知:r1<<R1;r2 <<R2;r3 <<R3;r4 <<R4,当IG=0,则回路中电流I1 =I2,I3 =I4,Ix=Ir+I3,IR=Ir+I4,IR=Ix,整理以上方程得

联立求得


![]()


图4.7 四端钮电阻
2.四端电阻器
待测金属棒设计成四端钮式,其中P1P2 为电压端,C1C2 为电流端,如图4.7 所示。
3.金属导体棒的电阻率
一段导体的电阻与该导体材料的物理性质和它的几何形状有关。 实验指出,导体的电阻与其长度l 成正比,与其横截面积S 成反比,即
![]()
式中的比例系数ρ 称为导体的电阻率。 它的大小表示导电材料的性质。
![]()
式中d 为圆柱形导体的直径。
【实验仪器】
QJ44 型直流双臂电桥箱(如图4.8 所示,C1、C2 是被测电阻电流端接线柱,P1、P2 是被测电阻电位端接线柱);待测金属棒样品(做成四端电阻);电源、导线;千分尺、直尺等。

图4.8 QJ44 型直流双臂电桥面板图
【实验内容及步骤】
1.测量低值电阻Rx
①接四端电阻。 注意首先确定并记录电阻的长度。
②正确选择电源电压及比率臂旋钮挡位。(https://www.daowen.com)
③对检流计调零。
④测量。 首先把灵敏度旋钮旋至最小,步进盘和滑线盘调至最小位置,按下B、G 两键,滑线盘由小增大,滑线盘示数超过0.01,步进盘进一位,使检流计最终指零,此时电桥达到平衡,最后松开G、B 两键。 然后再把灵敏度旋钮旋至最大,继续调节至平衡。
注意:使用箱式电桥时,电源接通的时间均应很短,即不能将B、G 两按钮同时长时间按下,测量时,先按B 再按G,断开时,必须先断开G 后再断开B。
⑤步进盘与滑线盘读数。
![]()
2.测量导体的电阻率
①测量导体棒的长度(单次测量),并记录测量结果l=l测±ul。
②测量导体棒的直径(测量6 次),并记录测量结果d=d-±ud。
注意:直径测量点应均匀分布。
【数据处理与分析】
①计算Rx 的平均值。
②计算各待测电阻的标准不确定度。
QJ44 型双臂电桥箱仪器误差限:
![]()
式中α=0.5(准确度指标);RN=0.01 Ω(基准值); x 为滑线标度盘示值。
对于单次测量



③电阻的测量结果:

④计算材料的电阻率。
【课后讨论】
请从原理并结合实践讨论惠斯通电桥和双臂电桥有哪些异同。
【附】
QJ44 型直流双臂电桥箱
QJ44 型直流双臂电桥是测量0.000 1 ~11 Ω 电阻的双臂电桥,全量程由5 个量限和步进读数盘及滑线读数盘组成。 电桥的标称使用温度为(20±15)℃,标称使用相对湿度为25% ~80%。 直流双臂电桥基本参数见表4.3。
表4.3 直流双臂电桥基本参数

续表

电桥平衡时,被测电阻阻值依据下式计算
![]()
在参考温度和参考相对湿度的条件下,电桥各量限的允许误差极限为

式中 ΔRx——允许误差极限,Ω;
α——准确度指标;
RN——基准值,Ω;
x——滑线标度盘读数,Ω。