对称四极剖面法

四、对称四极剖面法

对称装置的电剖面法,有对称四极剖面法和复合对称四极剖面法。

图示

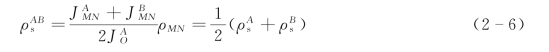
图2-20 对称四极剖面装置

图示

图示

将条件AM=BM和AN=BN代入式(1-36),可得对称四极剖面法的装置系数KAB

图示

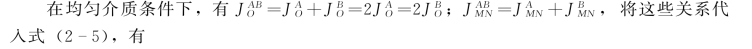
对称四极剖面法ρs曲线的特点仍可用视电阻率和电流密度关系公式来说明:

图示(https://www.daowen.com)

在对称条件下

图示

图示

图示

图示

图示

图2-21 对称四极剖面法和联合剖面法ρs曲线的关系

图示