特殊界面的折射波时距曲线
(一)变速层的折射波时距曲线
在自然界中,有些介质如覆盖层、风化壳等,由于岩层风化程度随埋深增加而逐渐变化,波速的变化是随深度增加而逐渐增大,但无明显的速度界面,这种地层称为变速层。变速层的速度变化规律一般可表示为

图6-8 水平三层介质时距曲线

图6-9 多层倾斜界面示意图
![]()
式中:V0为最表层波速;Z为埋深;Vz为深度Z处的波速;B为一个和介质性质有关的参数;q为变化指数,当q=l时,可认为变速层的速度随深度的变化是线性关系,当q≫1或q≪1时,则地层的速度随深度变化明显地呈非线性关系。
由于地震波在变速层中传播和在匀速层中的传播具有不同的特点,人们把变速层中的折射波称为潜射波,而将其时距曲线方程称为射线方程或旅行时方程。
在讨论变速层时,可以把变速层看作是由无限个厚度为ΔZ的薄层组成,每层波速渐增,从而构成波速序列V0、V1、V2、…、Vz,如图6-10所示。

图6-10 变速层示意图
下面讨论有界面存在时,变速层的几种时距曲线形态。
(1)覆盖层为连续变速层,该层下面是一个均匀介质的界面,这时在时距曲线图上可见到反映覆盖层的潜射波时距曲线和反映V2介质界面的折射波时距曲线,如图6-11所示。
(2)当介质中变速层在上部速度逐渐变大而达到一定深度后,速度保持不变[保持为V(Z)的常数],但无明显速度界面,这种情况下的潜射波的时距曲线具有有限的长度,即到达某一距离(如OC)后,就追踪不到时距曲线了,如图6-12所示。

图6-11 连续变速层时距曲线

图6-12 V(Z)和V2无明显速度界面时距曲线
(3)倾斜界面。情况与(1)相同,但界面倾斜,这时在界面的上倾方向可以见到一段较长的潜射波时距曲线和类似凹界面的折射波时距曲线;在下倾方向,则可见到一段较短的潜射波时距曲线和一类似凸界面的折射波时距曲线,如图6-13所示。(https://www.daowen.com)
(4)两个变速层形成水平界面,上面为变速层V1(Z),下面为变速层V2(Z),形成突变界面R。这时,由于波在变速层中的穿透潜射作用,得到的时距曲线与凹形界面上折射波的时距曲线十分类似,如图6-14所示。但两时距曲线不平行,Δt随着x的增大而减小。

图6-13 连续变速层下有倾斜界面的时距曲线

图6-14 两个变速层的时距曲线
(二)层状介质中有隐伏层时的折射波时距曲线
在层状介质中,如果某岩层的波速V2小于其上覆岩层的波速V1,也小于下伏岩层的波速V3,即V1>V2>V3,即形成所谓的低速夹层。在这种情况下,根据折射波的传播特性,无法观测到这种低速夹层所形成的折射波。这种在地面上观测不到其界面所产生的折射波的岩层,称为隐伏层。
下面讨论水平层状介质中的低速夹层的特点。
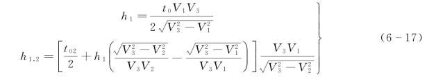
在正常情况下,对于三层介质来说,根据折射波产生的基本原理,必须满足V1<V2<V3的要求。其时距方程为

其时距曲线形态如图6-15所示。
它们的两个界面深度分别为

如果存在低速层,即V1>V2<V3(且V1<V3)时,则在V1和V2界面上就不可能产生折射波。这时仅从时距曲线上看就相当于存在两层介质。如这时无其他数据一起分析的话,就会错误地把三层介质看作两层介质,即把V3误认为V2,把t02误认为t01,计算两层介质的界面深度h',即为


图6-15 水平三层断面正常时距曲线
很明显,这时h'和h1,2之间将可能有很大误差,并且随着V2速度值越小或其厚度h2越大,误差也越大。
在实际工作中,当在有低速层的地区进行折射波法勘探时,应尽量避免产生上述这种遗漏低速层的现象。因此,这要求工作人员首先必须摸清地震地质条件。一般情况下,在有钻孔、测井资料的工区,应先进行地震波速的对比评价。当满足V1<V2<…<Vn的波速条件时,才能使用折射波方法,当然,在有条件的地区或低速层埋深不大的情况下,可将震源点移到低速层内进行激发,以便得到相应的结果。