答案速查

答案速查

一、选择题

(1)(D). (2)(C). (3)(B). (4)(C). (5)(D). (6)(A). (7)(C). (8)(B).

二、填空题

图示

三、解答题

图示(https://www.daowen.com)

(17)(Ⅰ)证明略. (Ⅱ)p=30.

(18)图示.

(19)(Ⅰ)证明略.

(Ⅱ)f′(x)=u′1(x)u2(x)…un(x)+u1(x)u′2(x)…un(x)+…+u1(x)u2(x)…u′n(x).

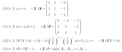
图示