2015年全国硕士研究生招生考试数学三试题
姓名_______分数_______
一、选择题:1~8小题,每小题4分,共32分.下列每题给出的四个选项中,只有一个选项是符合题目要求的.
(1)设{xn}是数列.下列命题中不正确的是

(2)设函数f(x)在(-∞,+∞)内连续,其二阶导函数f″(x)的图形如右图所示,则曲线y=f(x)的拐点个数为

(A)0.(B)1.
(C)2.(D)3.
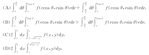
(3)设D={(x,y)|x2+y2≤2x,x2+y2≤2y},函数f(x,y)在D上连续,则![]()

(4)下列级数中发散的是

(5)设矩阵
.若集合Ω={1,2},则线性方程组Ax=b有无穷多解的充分必要条件为
(A)a∉Ω,d∉Ω.(B)a∉Ω,d∈Ω.
(C)a∈Ω,d∉Ω.(D)a∈Ω,d∈Ω.
(6)设二次型f(x1,x2,x3)在正交变换x=Py下的标准形为
,其中P=(e1,e2,e3).若Q=(e1,-e3,e2),则f(x1,x2,x3)在正交变换x=Qy下的标准形为

(7)若A,B为任意两个随机事件,则

(8)设总体X~B(m,θ),X1,X2,…,Xn为来自该总体的简单随机样本,¯X为样本均值,则![]()
(A)(m-1)nθ(1-θ).(B)m(n-1)θ(1-θ).
(C)(m-1)(n-1)θ(1-θ).(D)mnθ(1-θ).
二、填空题:9~14小题,每小题4分,共24分.

(12)设函数y=y(x)是微分方程y″+y′-2y=0的解,且在x=0处y(x)取得极值3,则y(x)=_________.
(13)设3阶矩阵A的特征值为2,-2,1,B=A2-A+E,其中E为3阶单位矩阵,则行列式|B|=_________..
(14)设二维随机变量(X,Y)服从正态分布N(1,0;1,1;0),则P{XY-Y<0}=_________.
三、解答题:15~23小题,共94分.解答应写出文字说明、证明过程或演算步骤.
(15)(本题满分10分)
设函数f(x)=x+aln(1+x)+bxsinx,g(x)=kx3.若f(x)与g(x)在x→0时是等价无穷小,求a,b,k的值.(https://www.daowen.com)
(16)(本题满分10分)
计算二重积分
,其中D={(x,y)|x2+y2≤2,y≥x2}.
(17)(本题满分10分)
为了实现利润最大化,厂商需要对某商品确定其定价模型.设Q为该商品的需求量,p为价格,MC为边际成本,η为需求弹性(η>0).
(Ⅰ)证明定价模型为
;
(Ⅱ)若该商品的成本函数为C(Q)=1600+Q2,需求函数为Q=40-p,试由(Ⅰ)中的定价模型确定此商品的价格.
(18)(本题满分10分)
设函数f(x)在定义域I上的导数大于零.若对任意的x0∈I,曲线y=f(x)在点(x0,f(x0))处的切线与直线x=x0及x轴所围成区域的面积恒为4,且f(0)=2,求f(x)的表达式.
(19)(本题满分10分)
(Ⅰ)设函数u(x),v(x)可导,利用导数定义证明[u(x)v(x)]′=u′(x)v(x)+u(x)v′(x);
(Ⅱ)设函数u1(x),u2(x),…,un(x)可导,f(x)=u1(x)u2(x)…un(x),写出f(x)的求导公式.
(20)(本题满分11分)
设矩阵
,且A3=O.
(Ⅰ)求a的值;
(Ⅱ)若矩阵X满足X-XA2-AX+AXA2=E,其中E为3阶单位矩阵,求X.
(21)(本题满分11分)

(Ⅰ)求a,b的值;
(Ⅱ)求可逆矩阵P,使P-1AP为对角矩阵.
(22)(本题满分11分)
设随机变量X的概率密度为
![]()
对X进行独立重复的观测,直到第2个大于3的观测值出现时停止,记Y为观测次数.
(Ⅰ)求Y的概率分布;
(Ⅱ)求EY.
(23)(本题满分11分)
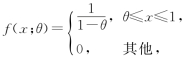
设总体X的概率密度为

其中θ为未知参数.X1,X2,…,Xn为来自该总体的简单随机样本.
(Ⅰ)求θ的矩估计量;
(Ⅱ)求θ的最大似然估计量.