2014年全国硕士研究生入学统一考试数学三试题
姓名_______分数_______
一、选择题:1~8小题,每小题4分,共32分.下列每题给出的四个选项中,只有一个选项是符合题目要求的.

(2)下列曲线中有渐近线的是
![]()
(3)设p(x)=a+bx+cx2+dx3.当x→0时,若p(x)-tanx是比x3高阶的无穷小量,则下列选项中错误的是
(A)a=0.(B)b=1.(C)c=0.(D)
.
(4)设函数f(x)具有二阶导数,g(x)=f(0)(1-x)+f(1)x,则在区间[0,1]上
(A)当f′(x)≥0时,f(x)≥g(x).(B)当f′(x)≥0时,f(x)≤g(x).
(C)当f″(x)≥0时,f(x)≥g(x).(D)当f″(x)≥0时,f(x)≤g(x).

(A)(ad-bc)2.(B)-(ad-bc)2.(C)a2d2-b2c2.(D)b2c2-a2d2.
(6)设α1,α2,α3均为3维向量,则对任意常数k,l,向量组α1+kα3,α2+lα3线性无关是向量组α1,α2,α3线性无关的
(A)必要非充分条件.(B)充分非必要条件.
(C)充分必要条件.(D)既非充分也非必要条件.
(7)设随机事件A与B相互独立,且P(B)=0.5,P(A-B)=0.3,则P(B-A)=
(A)0.1.(B)0.2.(C)0.3.(D)0.4.
(8)设X1,X2,X3为来自正态总体N(0,σ2)的简单随机样本,则统计量
服从的分布为
(A)F(1,1).(B)F(2,1).(C)t(1).(D)t(2).
二、填空题:9~14小题,每小题4分,共24分.
(9)设某商品的需求函数为Q=40-2P(P为商品的价格),则该商品的边际收益为_________.
(10)设D是由曲线xy+1=0与直线y+x=0及y=2围成的有界区域,则D的面积为_________.

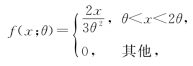
(14)设总体X的概率密度为

其中θ是未知参数,X1,X2,…,Xn为来自总体X的简单随机样本.若,则c=___________.(https://www.daowen.com)
![]()
三、解答题:15~23小题,共94分.解答应写出文字说明、证明过程或演算步骤.
(15)(本题满分10分)

(16)(本题满分10分)
设平面区域D={(x,y)|1≤x2+y2≤4,x≥0,y≥0},计算.![]()
(17)(本题满分10分)
设函数f(u)具有连续导数,且z=f(excosy)满足
.若f(0)=0,求f(u)的表达式.
(18)(本题满分10分)
求幂级数
的收敛域及和函数.
(19)(本题满分10分)
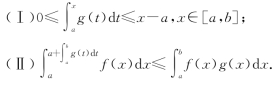
设函数f(x),g(x)在区间[a,b]上连续,且f(x)单调增加,0≤g(x)≤1.证明:

(20)(本题满分11分)
设矩阵
,E为3阶单位矩阵.
(Ⅰ)求方程组Ax=0的一个基础解系;
(Ⅱ)求满足AB=E的所有矩阵B.
(21)(本题满分11分)

证明n阶矩阵相似.
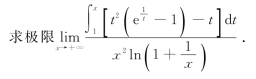
(22)(本题满分11分)
设随机变量X的概率分布为
.在给定X=i的条件下,随机变量Y服从均匀分布U(0,i)(i=1,2).
(Ⅰ)求Y的分布函数FY(y);
(Ⅱ)求EY.
(23)(本题满分11分)
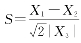
设随机变量X,Y的概率分布相同,X的概率分布为
,且X与Y的相关系数
.
(Ⅰ)求(X,Y)的概率分布;
(Ⅱ)求P{X+Y≤1}.