2016年全国硕士研究生招生考试数学三试题
姓名_______分数_______
一、选择题:1~8小题,每小题4分,共32分.下列每题给出的四个选项中,只有一个选项是符合题目要求的.
(1)设函数f(x)在(-∞,+∞)内连续,其导函数的图形如图所示,则

(A)函数f(x)有2个极值点,曲线y=f(x)有2个拐点.
(B)函数f(x)有2个极值点,曲线y=f(x)有3个拐点.
(C)函数f(x)有3个极值点,曲线y=f(x)有1个拐点.
(D)函数f(x)有3个极值点,曲线y=f(x)有2个拐点.
(2)已知函数
,则
(A)f′x-f′y=0.(B)f′x+f′y=0.
(C)f′x-f′y=f.(D)f′x+f′y=f.
(3)设
,其中D1={(x,y)|0≤x≤1,0≤y≤1},D2={(x,y)|0≤x≤1,0≤y≤x},D3={(x,y)|0≤x≤1,x2≤y≤1},则
(A)J1<J2<J3.(B)J3<J1<J2.
(C)J2<J3<J1.(D)J2<J1<J3.
(4)级数
(k为常数)
(A)绝对收敛.(B)条件收敛.
(C)发散.(D)收敛性与k有关.
(5)设A,B是可逆矩阵,且A与B相似,则下列结论错误的是
(A)AT与BT相似.(B)A-1与B-1相似.
(C)A+AT与B+BT相似.(D)A+A-1与B+B-1相似.
(6)设二次型
的正、负惯性指数分别为1,2,则
(A)a>1.(B)a<-2.
(C)-2<a<1.(D)a=1或a=-2.
(7)设A,B为两个随机事件,且0<P(A)<1,0<P(B)<1,如果P(A|B)=1,则
![]()
(8)设随机变量X与Y相互独立,且X~N(1,2),Y~N(1,4),则D(XY)=
(A)6.(B)8.
(C)14.(D)15.
二、填空题:9~14小题,每小题4分,共24分.

(14)设袋中有红、白、黑球各1个,从中有放回地取球,每次取1个,直到三种颜色的球都取到时停止,则取球次数恰好为4的概率为_______.(https://www.daowen.com)
三、解答题:15~23小题,共94分.解答应写出文字说明、证明过程或演算步骤.
(15)(本题满分10分)
求极限
.
(16)(本题满分10分)
设某商品的最大需求量为1200件,该商品的需求函数Q=Q(p),需求弹性
,p为单价(万元).
(Ⅰ)求需求函数的表达式;
(Ⅱ)求p=100万元时的边际收益,并说明其经济意义.
(17)(本题满分10分)
设函数
,求f′(x),并求f(x)的最小值.
(18)(本题满分10分)
设函数f(x)连续,且满足
,求f(x).
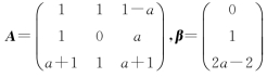
(19)(本题满分10分)
求幂级数
的收敛域及和函数.
(20)(本题满分11分)
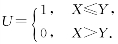
设矩阵
,且方程组Ax=β无解.
(Ⅰ)求a的值;
(Ⅱ)求方程组ATAx=ATβ的通解.
(21)(本题满分11分)
已知矩阵
.
(Ⅰ)求A99;
(Ⅱ)设3阶矩阵B=(α1,α2,α3)满足B2=BA.记B100=(β1,β2,β3),将β1,β2,β3分别表示为α1,α2,α3的线性组合.
(22)(本题满分11分)
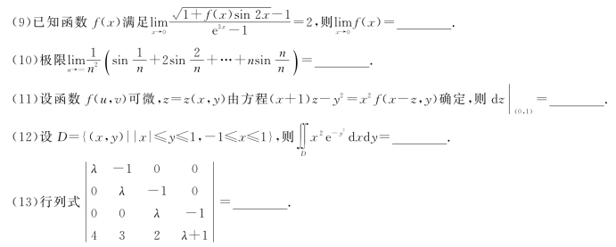
设二维随机变量(X,Y)在区域D={(x,y)|0<x<1,x2<y<x}上服从均匀分布,令![]()
(Ⅰ)写出(X,Y)的概率密度;
(Ⅱ)问U与X是否相互独立?并说明理由;
(Ⅲ)求Z=U+X的分布函数F(z).
(23)(本题满分11分)
设总体X的概率密度为

其中θ∈(0,+∞)为未知参数.X1,X2,X3为来自总体X的简单随机样本,令T=max{X1,X2,X3}.
(Ⅰ)求T的概率密度;
(Ⅱ)确定a,使得E(aT)=θ.