板块三 闯关练习:巩固

板块三 闯关练习:巩固

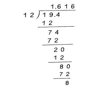
第一关:我会填空

根据竖式我能判断19.4÷12的商是(  )小数(填有限或无限)。

我发现在计算过程中,余数(  )不断重复,商的小数部分也不断重复出现数字(  ),总是除不尽,我们说19.4÷12的商是(  )小数,循环节是(  )。

第二关:我会判断(对的画“√”,错的画“×”)

1.无限小数一定比有限小数大。       (  )

2.无限小数都是循环小数。         (  )

3.循环小数都是无限小数。         (  )

4.0.66666是循环小数。          (  )

5.一个小数不是有限小数,就是无限小数。  (  )

第三关:我会摆数

有数字卡片1,1,1,2,2,2和3,请你从中选出几个数字和圆点卡片组合快速地摆出不同的小数。把你摆的小数写下来。

设计意图:分层练习,让学生在填一填、判一判、摆一摆中练习巩固,最终实现计算、循环小数、找规律的综合运用,沟通了前后知识,形成知识体系。