时间和空间的相互转换
尽管数学试图去证明在一个四维世界中,空间和时间的统一并不能完全消除距离和持续时间之间的差异,但它们确实揭示了这两个概念之间的相似之处,这在爱因斯坦之前的物理学中是前所未有的。
事实上,现在应将各个事件之间的空间距离和时间间隔视作在空间轴和时间轴上的投影,因此四维直角坐标系的旋转可能导致部分空间距离转换为持续时间,反之亦然。但是我们所说的四维时空轴的旋转是什么意思呢?
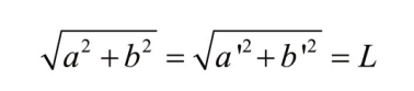
首先我们来思考一下空间直角坐标系,如图34(a)所示,假设有两个相隔一定距离L 的固定点。把这段距离投射到两条坐标轴上,我们会发现这两个点在第一个轴的方向上相距a,在第二个轴的方向上相距b。如果我们将直角坐标系旋转一定角度[见图34(b)],同样距离所得到的在两个新轴上的投影不用于之前的投影,得到新的a′和b′。然而,根据毕达哥拉斯定理,两个投影的平方和的平方根在这两种情况下是相等的,因为它对应于两点间的实际距离,并不会因为轴的旋转而改变,即

因此可知平方之和的平方根不因坐标的旋转而改变,而投影值的大小是取决于坐标系的。

图34 空间直角坐标系
现在让我们思考一下由一根对应距离的轴和一根对应持续时间的轴所组成的坐标系。在这种情况下,前一个例子中的两个固定点变成两个固定事件,并且在两个轴的投影分别代表空间和时间。对于上一章节讨论的银行抢劫和飞机坠毁这两个事件的时间,我们可以绘制一张与表示两个空间轴的图[见图34(a)]非常相似的图[见图35(a)]。那么我们现在应该怎样旋转坐标轴呢?答案是出乎意料甚至有些令人困惑的:如果想要旋转这种时空轴,就坐公共汽车吧。
好,假设我们真的在7 月28 日的早上,坐上了一辆沿着第五大道行驶的公共汽车的上层。如果我们能否看到这些事件仅取决于距离,那么从功利主义的角度出发,我们此时最关心的问题是银行抢劫事件和飞机坠毁事件的发生地点距离我们的公共汽车有多远。

图35 (a)传统方式;(b)爱因斯坦方式
看看图35(a),如果公共汽车世界线的连续位置与银行抢劫事件和飞机坠毁事件都画在上面,你一下子就可以发现在公交汽车上看到的距离和在其他地方看到的距离不一样,比如和站在街角的警察观察到的不同。因为公共汽车正沿着大街行驶,所以我们可以说大概每3 分钟前进一个街区(在纽约交通拥挤的情况下这并不罕见),那么从公共汽车上看,这两个事件之间的距离变小了。但事实上,在上午9 点21 分,公共汽车正穿过第五十二街,此刻两个街区外正在发生银行抢劫事件。当发生飞机坠毁事件时(上午9 点36 分),公共汽车正在第四十七街,也就是说,与飞机坠毁地点相隔14 个街区。因此在测量相对于公共汽车的距离时,我们得到结论说抢劫和坠毁两个事件的发生地点相距14-2=12(个)路口,相比之下对于两处的建筑而言测量的距离是50-34=16(个)街区。再看图35(a),我们看到,从公共汽车上记录的距离,不必像以前那样从纵轴(警察的世界线)算起,而是从表示公共汽车世界线的倾斜线算起,因此,正是后者这条线成了新的时间轴。
刚才讨论的这些可以这样归纳一下:当通过一个运动着的物体去绘制事件的时空图时,我们必须将时间轴旋转一定角度(取决于运动物体的速度),而空间轴保持不动。
尽管这种说法在经典物理和所谓的“常识”来看是个信条般的真理,但是,和我们关注四维时空世界的新观点有着直接的冲突矛盾。事实上,如果把时间当作独立的第四个坐标,那么时间轴则会永远和其他三个空间轴保持垂直,不管我们是坐在公共汽车、电车上还是在人行道上。
此时我们只能遵循这两个观点中的其中一个。一个是我们坚持对空间和时间的传统认知,那么就要放弃对统一的时空几何学作深入思考;另一个则是打破“常识”的旧观念,假设在我们的时空图中空间轴必须沿着时间轴转动,这样两个轴就始终保持相互垂直[图35(b)]。
但是,旋转时间轴意味着在运动物体上观察两个事件的时候它们分别有不同的空间间隔(即12 个和16 个街区的区别),以同样的方式旋转空间轴则意味从地面上的固定点观察两个事件的时候它们有着不同的时间间隔。因此,如果银行抢劫事件和飞机坠毁事件在市政大楼的钟上相隔15 分钟,那么公共汽车上乘客的手表所记录的时间间隔是不同的——不是因为两个表由于机械缺陷以不同的速度移动,而是因为在不同运动速度的物体上,时间本身的流速不同,而且实际上记录时间的机械系统相应地变慢了,但是公共汽车行驶速度太小,这种延迟微乎其微,几乎感觉不到(这个现象后面还会用较长篇幅来讨论)。
再举一个例子,让我们思考一下一个男人在移动的火车餐车吃饭。从餐车服务员的角度来看,他一直坐在一个位置上(窗边第三个座位)吃他的开胃菜和甜点。但从铁路轨道上两个站着的调度员的角度看,一个正好看到他吃了开胃菜,另一个最后只看到他吃了甜点——两个事件发生在相隔数英里的地方,因此我们可以说:就一个观察者的角度而言,两个事件发生在同一地点但不同的时刻,从同一状态下其他不同运动状态的观察者的视角来看,却可能被认为发生在不同的地点甚至不同的状态。
考虑到所需的时空等效性,将上句中的“地点”一词和“时刻”相互替换,句子就变成了:就一个观察者的视角而言,两个事件发生在同一时刻但是不同的地点,从同一状态下其他不同运动状态的观察者的视角来看,却可能被认为发生在不同的时间甚至不同的状态。
将其应用到餐车的例子中,我们可以预测,服务员可以发誓说坐在火车两端的乘客绝对是同时点燃香烟的,但是站在轨道旁的调度员则会坚持说在火车经过时他通过窗户看到两个人一前一后点燃了香烟。
因此,从一个观察者的视角来看两个被认为是同时发生的事件,从另一个观察者的视角来看则可能被一个特定的时间间隔分开。
空间和时间仅是亘古不变的四维坐标轴的投影,是四维空间几何学的必然结论。