封闭空间和开放空间
在对本章进行总结前,我们不能不讨论一下爱因斯坦时空几何学中另外一个重要的问题:宇宙到底是有限的还是无限的?
到目前为止,我们一直在讨论大质量周围局部空间的弯曲,好像许多“空间粉刺”分散在这张巨大的宇宙“脸”上。但是,除了这些局部的偏差以外,宇宙的脸是平坦的还是弯曲的?如果是弯曲的,又是怎样弯曲的呢?图43 给出了一个长着“粉刺”的平面空间的二维图示,还有两个有可能存在的弯曲空间的类型。所谓的“正曲率”空间,即对应于一个球体或其他任何一个闭合的几何图形的表面,不管向哪个方面发展都是以“相同的方式”弯曲的。与之相反的“负曲率”空间在一个方向上向上弯曲,但在另一个方向上向下弯曲,其表面大概类似于一个马鞍。如果你切两块皮子,一块从足球上切,一块从马鞍上切,然后试着把它们在桌子上展平,你会发现这两种不同曲率的不同之处很容易分清楚。你还会注意到这两块皮子都是无法被展平的,不是被拉长就是有褶皱,然而足球一定是被拉伸的那个,而马鞍则是有褶皱的那个。足球块要压平的话中心周围的皮料不够;马鞍块则是皮料太多了,当我们试图使其平整光滑时,它就会产生褶皱。
我们可以换个说法说明同样的观点。假设我们从某一点起数一数周围1 英寸、2 英寸、3 英寸等范围内(沿表面计数)“粉刺”的数量。在一个没有曲率的平面上,“粉刺”的数量会以距离的平方数增长,即1、4、9,等等。在一个球形的表面上,“粉刺”的增长要比平面上慢一些,而在一个马鞍形的表面上则要快一些。因此生活在二维表面上的二次元科学家,就算没有办法从外面观察它的形状,仍然可以通过计算不同半径的范围内“粉刺”的数量来观察它的弯曲。另外,在这里我们还可以注意到正、负两种曲面上的三角形表现出不同的角度和。就像我们在前一部分的学习中看到过的球面三角形的内角和总是大于180°。如果你在马鞍形表面上尝试画一个三角形,你会发现三角之和总是小于180°。

图43 平面空间的二维图示
上述在弯曲表面上得出的结论可以推广到三维空间中去,得到表3。
表3 三维空间中弯曲表面的结论

该表可以用于为我们所生活的宇宙究竟是有限的还是无限的这个问题寻找答案——这个问题将在研究宇宙大小的第十章中加以讨论。
[1]我们已经知道光波的振动方向与光的传播方向是垂直的,因此光波被称为横波。就一般物体而言,横波只发生在固体中,液体和气体的粒子振动方向与波的行进方向相同。
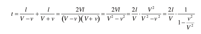
[2]用l 表示两个码头之间的距离,逆流时的合成速度是V-v,顺流时的速度为V+v,那么我们可以得到航行的总时间为

[3]用第一次发现并引进这种概念的物理学家的名字来命名,菲兹杰拉德认为这纯粹是运动的一种机械效应。
[4]当然这只是理论上的情景。事实上,如果真的有两艘飞船按照我们所设想的速度相遇,无论哪一艘飞船上的乘客都完全无法看见另一艘飞船——就算一颗子弹以这个速度的一小部分从步枪中发射出来你都看不见。
[5]如果你愿意的话,也可以说是由于四维空间中毕达哥拉斯公式在时间上发上了变形。
[6]大圆是球面被一个通过球心的平面所切割而得的圆。子午圈和赤道均属于这种大圆。