以太风和天狼星之旅
现在让我们扪心自问是否仅是因为想使用四维几何的语言,就把这种革命性的变化引入我们对空间和时间原有的舒适观念中去。
如果我们的答案是肯定的,那我们要挑战整个基于艾萨克·牛顿根据时间和空间的定义构成的经典物理学体系,即“就其本质而言,绝对的空间是和任何外界事物无关的,它保持不变且从不运动”,并且“就其本质而言,绝对的、真实的数学时间是自行均匀地流逝的,和任何外界的事物无关”。牛顿在写这些话的时候当然不认为他在陈述什么新事物,或者有什么可以开放讨论的,他只是用一种准确的语言简单地表达了空间和时间的概念,这种概念对很多人来说是显而易见的常识。事实上人们对这种空间和时间经典概念的正确性深信不疑,因此这种概念经常被哲学家当作一种先验的东西,也没有哪个科学家(更别说门外汉了)曾想过这个概念的错误性,以及它是否有重新被验证和声明的必要性。既然如此,为什么我们现在要重新思考这个问题呢?
答案是:人们放弃经典的时间和空间概念,并将它们统一在一个单一的四维构图中,并不是出于爱因斯坦对纯粹审美的需求,也不是出于这位天才内心不安的冲动,而是因为它经常在实验研究中出现,而且无法用古典概念中独立的空间和时间来解释。
1887 年,一位美国物理学家迈克耳孙完成了一项看似朴实无华的实验,对这座永恒而漂亮的经典物理“城堡”造成了第一次震撼基石的冲击,几乎松动了它每一块建造精巧的砖石,甚至撼倒了它的墙垣,就像约书亚的喇叭对耶利哥城墙的作用一样。迈克耳孙的实验非常简单,它基于一种物理假设:当光穿过所谓的“光以太”(指一种充满宇宙空间和填满所有物质原子间空隙的物质)时会出现波动。
往池塘里丢一块石头,水波就向各个方向传播。任何发光的物体都会以同样的方式发光,音叉振动发音也是如此。但是,水面的波可以清楚地表现出水粒子的运动,我们也知道声音是通过空气或者其他物质的振动而产生的,但却无法找到任何一种可以携带光波的介质。事实上,光是如此轻松简单地(与声音相比)、空空荡荡地就穿过了空间。
不过,如果说在没有物体可以振动的地方发生了振动就太不合逻辑了,因此物理学家不得不引入一个新的概念——光以太,为“振动”这个动词提供一个实质性的主语,以试图解释光的传播。从纯粹的语法观点来看,任何动词都必须有主观性,不能否认“光以太”的存在。但是,一定要强调“但是”——语法的规则没有,也不能指导我们为了正确造句而必须引入具有什么样物理性质的物质。
如果我们说光由穿过“光以太”的波组成,用光传播的载体来定义光以太的话,这倒是一句无懈可击的话,不过也只是微不足道的重复罢了。实质问题是研究光以太究竟是什么,以及它具有什么样的物理性质。在这个问题上,任何语法也无法帮助我们,只有从物理学中寻找答案。
在后面的讨论中我们将会看到,19 世纪的物理学所犯的最大错误是人们假设光以太具有和我们所熟知的一般物体相似的物理性质。人们经常提到光以太的流动性、刚性和各种弹性,甚至内摩擦。因此,举个例子,就是光以太一方面作为传递光波[1]时振动的固体,另一方面在天体运动中没有任何阻力,表现出完美的流动性,可通过与火漆等材料的对比对其进行解释。我们知道火漆和其他类似的物质都很坚硬,在机械力快速地冲击下易碎,但是长时间下它们又会因为自重而像蜂蜜一样流动。如此分析,过去的物理学假设光以太充满了整个宇宙空间,在面对光传播的快速畸变时是一种坚硬的固体,但是面对比光慢上几千倍的恒星和行星来说,它又表现得像一种优质的液体,可以被肆意推开。
这是一种拟人的观点,可以说,当试图判断一种除了名字以外几乎什么未知的事物具有我们所熟知的一般物质的性质时,从一开始就是极其失败的。而且尽管人们作出了很多尝试,至今仍然没有机会给这种神秘的光波载体找到合理的力学性质。
根据我们已有的知识,不难发现这些尝试的错误之处。事实上,我们知道一般物质的所有机械性质都可以追溯到构成物质的原子间的相互作用上。因此,可以举例,水具有高流动性是因为水分子间几乎没有摩擦力,橡胶具有弹性是因为橡胶分子易变形,金刚石坚硬是因为构成金刚石结构的碳原子都被紧紧联系在刚性结构上。因此各种物质所共有的力学性质都是源于它们的原子结构,但无论如何,这个结论应用到像光以太这种绝对连续的物质上时就失去了意义。
光以太是一种特殊的物质,和我们一般称为实物的熟悉的原子结构没有任何相似之处。我们可以称光以太为“物质”(仅仅是因为它需要作为动词“振动”在语法上的主语),但是我们也可以叫它“空间”,我们要记住,我们前面已经看到过并且后面还会继续看到,空间可能具有某种形态上或者结构上的特点,这让它比欧几里得几何学上的空间概念复杂得多。实际上,现代物理学中“光以太”(撇开它所谓的机械性质不说)和“物理空间”是同义词。
但是我们扯到光以太的哲学分析上就太跑题了,现在必须回到迈克耳孙的实验上来。我们之前说过,这个实验的原理非常简单。如果光以波的形式通过光以太,地球表面的测速仪记录到的光速将会因为地球在宇宙空间中的运动而受到影响。站在地球上正好与地球绕日轨道方向一致之处,我们就能体验一下“以太风”,如同在一个完全宁静的天气站在高速行驶的航船甲板上,依旧会感觉到有风扑面而来。当然我们感觉不到以太风,因为已经假设光以太能毫不费力地通过形成我们身体的各个原子了,不过我们应该能根据测量与地球行进方向成不同角度的光的速度来感知它的存在。谁都知道顺风前进时声音的速度比逆风时要大,因此光顺以太风和逆以太风传播时的速度看来自然也会不同。
因为这个原因,迈克耳孙着手设计了一套可以记录各个不同方向不同光速的仪器。当然,最简单的方法是采用之前提到过的菲索实验的仪器[图31(c)],然后通过把它转向不同的方向来进行一系列的测量。但是,这并不是一个非常理性的做法,因为这要求每次测量都有很高的精确度。实际上因为我们所预期的差别(等同于地球的运动速度)只有光速的万分之一,所以我们应该每次测量都保证极高的精确度。
如果你有两根一样长的棍子,并且想要知道它们之间的不同,你会发现把一头对齐测量另外一头是找出长度差最简单的方法。这就是所谓的“零点法”。
迈克耳孙实验仪器的原理如图36 所示,它利用零点法比较两个相互垂直的光波速波。

图36
这套仪器的中心部件是一块镀了薄薄一层银的半透明的玻璃片B,可以让光束一半射入,一半反射。因此,从光源A 射来的光束在通过这个部分的时候分成了相互垂直的两部分。这两道光束由放置在与中心部件等距处的两个镜子C 和D 反射,并被送回中心部件。由D 折回的光束部分穿过银膜,和同样部分通过C 的光束汇聚在一起。因此两束光线在进入仪器前被分开,又在被观察者看到前汇聚在一起。根据一个众所周知的光学原则,两束光线会互相干涉,形成肉眼可见的明暗条纹。如果B、D 和B、C 的间距相等,那么两束光线将同时返回中心部件,明亮的部分就会位于正中间。如果距离有些改变,那么一束光线就会晚些到达,导致明亮条纹向左或者向右偏移。
因为这套仪器被放置在地球表面,而地球又在宇宙空间中快速地运动,我们必须预料到以太风的运动速度会和地球的运动速度相同。例如,我们可以假设以太风以自C 向B 的方向吹去(见图36),那让我们问问我们自己,这和两束光线赶到相聚地点的速度会有什么差别。
要注意其中的一束光线显示逆风然后顺风,另一束光线则是在风中来回穿行,哪一束光线会先到呢?
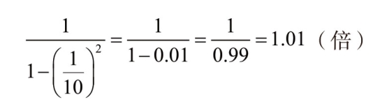
设想有一条河,一艘汽艇从一号码头逆流而行到二号码头,然后再顺流而行回到一号码头。水流在前一部分的航行中起阻碍作用,但在归程中又帮助了它。你可能会倾向于相信这两种影响会相互抵消,其实不然。为了弄清楚这一点,设想汽艇以和水流速度相同的速度行驶。在这种情况下,汽艇从一号码头出发,永远到达不了二号码头!不难看出水流的参与用一个因子延长了整个航行的时间:

这里的V是船速,v是水的流速[2]。因此,举个例子,如果船速为水流速的10 倍,那么来回一次的时间为在静水中的

也就是说比在静水中多用1%的时间。
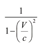
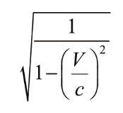
用同样的方法,我们也可以计算出来回横渡河流的延时。这个延时是因为从一号码头行驶到三号码头时,船必须向一侧稍稍倾斜才能将水流所造成的漂移抵消。这样的话延时会小一些,用公式表示为

即对于上面的例子而言时间只延长了5‰。要证明这个公式非常简单,用功的读者可以试一下。现在,把河流替换成流动的光以太,把船替换成传播中的光束,把码头替换成两面镜子,你得到的就是迈克耳孙实验的组合。光束从B 到C 再返回B 的时间会延长

倍,c 是光通过光以太的速度,反之光从B 到D 再折回来,时间延长了

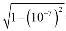
倍,因此和地球运动速度相同的以太风的速度为30 千米/秒,光速则是30 万千米/秒,两束光线分别延迟万分之一和十万分之五。因此通过迈克耳孙的实验仪器很容易观察到顺以太风传播的光束与逆以太风传播的光束的速度之差。
你可以想象一下,当迈克耳孙在这个实验中没能发现干涉条纹发生一点点偏移的时候有多么惊讶。
显然,无论光在以太风中顺行还是逆行,以太风对光束都没有影响。
这个事实太令人震惊了,一开始迈克耳孙自己都无法相信,但是多次细心实验的结果毋庸置疑,这个结论是令人震惊的,他一开始得到的结论是正确的。
对于这个出乎意料的结果,唯一的解释是大胆假设迈克耳孙架设镜子的巨大的石头桌子在沿着地球在宇宙空间中运行的方向上有微小的收缩(即所谓“菲兹杰拉德[3]收缩”)。事实上,如果B、C 间的距离收缩了一个因子

而B、D 的距离保持不变,那么两束光线的延时则变成相等的并且所产生的干涉条纹不会发生移动。
但是,迈克耳孙的石桌收缩这个观点说起来容易,理解起来却难多了。事实是,我们确实遇到过物体通过有阻尼的介质时产生收缩的例子。例如汽艇在湖中行驶时,由于尾部推进器的驱动力和船头水流的阻力两者的作用,船体会产生一点收缩。这种机械力造成的收缩程度与船体的材料有关。钢制船体的收缩程度要比木制船体小一点。但是在迈克耳孙的实验中收缩变化导致的负面影响只取决于运动的速度,而和材料本身的强度无关。如果那张放镜子的桌子不是用石头做的,而是用铸铁、木头或者其他材料做的,收缩的程度也是一样的。因此,很明显,我们遇到的是一种普适效应,它让所有移动的物体都产生相同程度的收缩。按照爱因斯坦在1905 年描述的现象,我们遇到的是空间本身的收缩,一切物体在以相同速度运动时都会产生相同程度的收缩,仅仅是因为它们都被限制在同样收缩的空间里。
在前两章我们已经说了足够多的空间性质,它们使上述状态合理化。为了说得更清楚一些,我们可以想象空间里有一种弹性胶状物,物体在其中有着可见的边界。当空间受挤压、拉伸或者扭转产生变形时,被限制在其中的物体的形状会自动地产生相同的变化。这些物质的变形是由于空间的变形产生的,一定要区别于由于其内部压力和拉力产生的内力导致的变形。图37 所示的二维空间可能有助于解释这种重要的区别。

图37 二维空间
不过,尽管这种宇宙收缩的影响对于理解物理的基础原则来说是很重要的,但在日常生活中却十分不引人注意,因为我们在每天的生活中经历到的能够对我们产生影响的最大速度跟光速比起来也是微不足道的。因此,假如一辆汽车每小时行驶50 千米,则其长度变成原来的=0.999 999 999 999 99(倍),也就是说,汽车前保险杠到后保险杠的长度只缩短了一个原子核的直径那么长!一架时速超过600 千米的喷汽式飞机,其长度只不过减小一个原子的直径那么大,而且就算是飞行速度超过每小时25 000 千米的100 米长的火箭,其长度也只不过减小了1%毫米。
不过,如果我们假设物体以光速的50%、90%和99%运动,则其运动时的长度和它们在地面上静止时的长度比起来将分别减小了86%、45%和14%。
这种高速运动物体的相对收缩效应被一位无名的作者写进了一首打油诗中:
小伙斐克剑术精,
出刺迅捷如流星。
由于空间收缩性,
长剑变成小短钉。
当然,这位斐克先生出剑的速度一定要快如闪电才行。
从四维几何学的角度出发,一切运动物体的这种普遍收缩是很容易根据时空坐标轴的旋转使物体的四维长度在空间坐标上的投影发生改变来解释的。事实上你一定还记得在之前的部分讨论过的,从运动的系统上作出的观察一定要用空间和时间轴都旋转一定角度的坐标系来描述,旋转的角度大小取决于运动速度。因此,如果在静止系统中,四维距离是百分之百地投影到空间轴上的[见图38(a)],那么它在新的时间轴[见图38(b)]上的空间投影就会短一些。

图38 静止系统中四维距离的投影
需要记住的一点是:所求的缩短长度完全只和两个系统的相对运动有关。如果我们认为一个物体相对于第二个系统而言是静止的,那么在这个新空间轴上的投影则用长度不变的平行线表示,在原有的空间轴上的投影则缩短同样的倍数。
因此没有必要去说明两个系统哪一个是“真的”在运动,这没有什么物理意义,真正起作用的只是它们在相对地运动。因此,如果未来有两艘“星际通信有限公司”的载人飞船正高速行驶,在地球和土星之间的宇宙空间中相遇,每一艘飞船上的乘客透过窗子看到的另一艘飞船都明显地变短了,然而他们都感觉不到自己所在的飞船变短了。争论哪一艘飞船是“真的”变短了是十分无用的,因为从每一艘飞船上的乘客的视角来看,另一艘飞船都会是变短的,但是自己所在这一艘飞船并没有[4]。
四维时空的理论还让我们明白了为什么运动物体的长度只有在其速度接近光速的时候才会发生缩短。事实上,时空坐标轴旋转的角度大小是由运动系统所通过的距离与相应时间的比值来决定的。如果我们用英尺来衡量距离,用秒来表示时间,那么这个比值不是别的,正是我们常用的表达速度的英尺/秒。因此,在四维世界中时间间隔使用常见的时间单位乘以光速,而决定旋转角度大小的比值是用英尺/秒表示的速度除以用相同单位表示的光速。因此只有当两个系统相对运动的速度接近光速时,旋转角度的变化以及这种变化对距离测量结果的影响才是十分显著的。
在同样的方式下,时空坐标系的旋转不仅影响了长度的测量,也改变了时间间隔的测量。可以证明的一点是,因为四个坐标具有特殊的虚数本质[5],当空间距离缩短的时候时间间隔将会变大。如果你在高速行驶的车里放一只钟表,它会比在地面上静止的同样的表走得慢,因此在两个连续的嘀嗒声之间的时间间隔会变长。与长度缩短的情况一样,时钟走得慢也是只与运动速度有关的一个普适效应。现代的腕表也好,祖父那个带大钟摆的老式钟表也好,甚至是沙漏,只要运动速度相同,它们走的快慢的程度就是一样的。这种效应当然不局限于我们说的“钟”和“表”这些特别的机械,事实上,一切物理的、化学的或者生物上的过程都以同样的程度慢下来。因此,你在高速行驶的飞船上煮鸡蛋的话,是不会因为你的表走得慢而发生什么危险的;而鸡蛋内部产生的作用效果也相应地慢下来了,所以如果平时你看着表用水煮五分钟鸡蛋,这时你仍然可以看着表用水煮“五分钟”。我们在这里不用火车餐车而是用飞船作为例子,是因为时间的伸长和空间的收缩一样,只有当运动速度接近光速的时候才会变得比较明显。时间伸长的倍数也同样是

即如同空间的收缩,但这里有一点不同:这个倍数不是用作乘数,而是用作除数。如果一个物体高速运动,长度会缩短一半,而时间间隔则会延长两倍。
运动系统中时间的速度变慢为星际之旅提供了一个有趣的现象。假设你决定去距离地球9 光年的天狼星的行星上参观,并且坐上了几乎有光速那么快的飞船。你大概会觉得往返一趟需要至少18 年,因此你有意携带大量的食物储备。然而,如果你的飞船真的可以几乎用光速行驶,那这种预防完全是多余的。事实上,如果你的移动速度达到了光速的99.999 999 99%,你的手表、心脏、呼吸、肾脏、消化系统和思考能力都将放慢70 000倍,因此从地球到天狼星往返一趟所用的这18 年(从留在地球上的人的角度来看),在你看来不过只是几个小时。事实上,当你吃完早饭从地球出发,那降落在天狼星某一行星的表面上时正好准备吃午饭,如果你着急的话,吃完午饭你立马返回地球,就可以赶回地球上吃晚饭。不过如果你忘记了相对论的原理,你到家的时候一定会大吃一惊,因为你会发现你的亲友以为你一定还在宇宙空间中的什么地方,他们已经自己吃过6 570 顿晚饭了!因为你以近乎光速的速度旅行,地球上的18 年对你来说不过一天而已。
但是如果运动得比时间还要快呢?从另外一首关于相对论的打油诗里可以得到一部分答案:
年轻女郎名伯蕾,
神行有术光难追。
爱因斯坦来指点,
今日出游昨夜归。
说真的,如果以接近光速的速度运动可以使时间变慢,那么速度超过光速时就可以倒转时间!另外,由于毕达哥拉斯公式中代数符号的改变,时间坐标会变为实数,这就变成了空间距离,同样在超光速的系统中,所有通过零的长度都变成了虚数,这就变成了时间间隔。
如果这一切是可能的,那么图33 中的爱因斯坦只要能想办法获得超光速,那么就真的可以完成把尺子变成闹钟的表演!
但是物理世界虽然疯狂,但却不是这种疯狂,显然可以用一句话简单地概括一下为什么这种黑魔法是不可能的:没有任何物体能以光速或者超光速运动。
这一条基本自然原则的物理学基础,在于大量的直接实验证明,运动物体反抗它本身进一步加速的惯性质量,在运动速度接近光速时会无限增大。因此如果一颗左轮手枪的子弹速度达到了光速的99.999 999 99%,那么进一步加速的阻力相当于一枚12英寸的炮弹;如果速度达到光速的99.999 999 99%时,我们的这颗小子弹的惯性质量就等于一辆满载的卡车。但是无论怎么给这颗小子弹施加作用,我们也永远不能克服让它和光速完全一样的最后一位小数。光速是宇宙中所有运动速度的极限!