16.1 弹箭倾倒运动模型
2026年01月14日
16.1 弹箭倾倒运动模型
在起竖待发射状态下,弹箭发射平台一般由多个支腿支撑(图16-1),若发射平台未调平或受到较大风载荷作用,弹箭可能发生倾倒并撞击地面,不仅导致发射任务失败,还有可能引发严重的安全事故。

图16-1 典型的发射起竖流程
(a)近似水平的运输状态;(b)竖直状态
本章考虑外载荷作用下弹箭的倾倒过程,将弹头简化为质量为M1、直径为φ、高为hl的圆锥体,将弹体简化为质量为m2、直径为φ、高为h2的圆柱体,质量均匀分布。简化模型如图16-2所示。
将倾倒过程分为两个阶段:无滑动的定轴转动和既滑动又旋转的平面运动。其受力分析如图16-3所示。

图16-2 弹箭模型简化示意图
(https://www.daowen.com)
图16-3 弹箭模型受力分析图
(a)无滑动的定轴转动;(b)既滑动又转动的平面运动
在该系统中有两个运动学变量:弹体旋转角度θ和滑动位移x,利用达朗贝尔原理,可得到第一阶段的运动学方程为

其中,OC为质心C到支点O的距离;v为风速;p为风压;S为竖直时的迎风面积;β为弹头圆锥角度;m为弹箭质量;g为重力加速度;JP为弹箭对速度瞬心P的转动惯量。
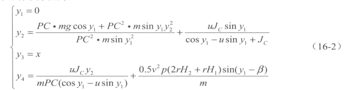
第二阶段的运动学方程为

其中,PC为速度瞬心P与质心C的距离;JC为弹箭对质心C的转动惯量;u为弹箭对地面的等效摩擦系数。