1.3.2 伽利略变换
2026年01月14日
1.3.2 伽利略变换
将式(1.69)对时间t求导得

即绝对速度等于相对速度与牵连速度的矢量和,这一关系式称为伽利略速度变换公式,也叫经典力学的速度变换定理,它描述了不同参考系之间的速度变换关系。
将相对速度公式两边对时间一阶求导,有加速度关系
![]()
即

在相对做匀速直线运动的参考系中观察同一质点的运动,加速度的描述相同。伽利略速度变换公式只适用于物体运动速度远远小于光速的情况。
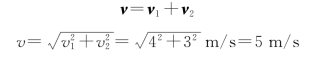
例1.11 东流的江水流速为v 1=4 m/s,一船在江中以航速(对水)v 2=3 m/s向正北行驶。试求:岸上的人将看到船以多大的速率v向什么方向航行?

图1.28 例1.11用图
解 以岸为K系,江水为K′系。(https://www.daowen.com)
如图1.28所示,船相对于岸的速度为

方向为

例1.12 一小船运载木料逆水而行,经过某桥下时,一块木料不慎落入水中,半小时后人们才发觉,立即回程追赶,在桥下游5 km处追上木料。设小船顺流及逆流相对于水的速度相同。求:
(1)小船回程追赶所需时间;
(2)水流速度。
解 运动质点为船,河岸为静止参照系,木料为运动参照系。
(1)先假设水不流动,则木料静止在桥下,船来回速度大小相同,那么船来回所需时间相同,各为t 1=t 2=0.5 h。来回共用时间2t 1=1 h。
因水流动,木料以水流速度向下漂移,但应注意到,船同样也有一个由于水流动而向下漂移的运动,两者互相抵消。这样以木料为运动参照系来看,船的运动情况与水不流动时完全相同。所以所需时间t 1=t 2=0.5 h,来回共用时间2t 1=1 h。
(2)以河岸为参照系,木料以v水匀速向下漂移,共用时间为1h。木料漂移距离为5 km,则
