导文网
搜索
首页>
图书频道>
理学>
天文地球
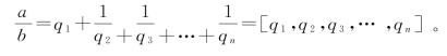
11.8.2 渐近分数序列
2026年01月14日
版权
11.8.2 渐近分数序列
其中,p
i
=a
i
p
i-1
+p
i-2
,q
i
=a
i
q
i-1
+q
i-2
。即有(https://www.daowen.com)
上一章
下一章
目录