7.1.7 混凝土匀质性检测
2026年01月14日
7.1.7 混凝土匀质性检测
所谓混凝土匀质性检测,是对整个结构物或同一批构件的混凝土质量均匀性的检测。混凝土匀质性检测的传统方法是,在结构物浇筑混凝土现场取样制作混凝土标准试块,以其破坏强度的统计值来评价混凝土的匀质性。应该指出:这种方法存在一些局限性,例如,试块的数量有限;因结构的几何尺寸、成型方法等不同,结构物混凝土的密实程度与标准试块会存在较大差异,可以说标准试块的强度很难全面反映结构混凝土质量均匀性。为克服这些缺点,通常采用超声脉冲法检测混凝土的匀质性。超声脉冲法直接在结构上进行检测,具有全面、直接、方便、数据代表性强的优点,是检测混凝土匀质性的一种有效的方法。
1.测试方法
一般采用厚度振动式换能器进行穿透对测法检测结构混凝土的勻质性。要求被测结构应具备一对相互平行的测试表面,并保持平整、干净。先在两个测试面上分别画出等间距的网格,并编上对应的测点序号◦网格的间距大小取决于结构的种类和测试要求,一般为200~500 mm。对于测距较小,质量要求较高的结构,测点间距宜小些。测点布置时,应避开与超声波传播方向相一致的钢筋。测试时,应使T、R换能器在对应的测点上保持良好耦合状态,逐点读取声时值ti并测量对应测点的距离li值。
2.计算和分析
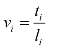
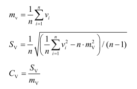
混凝土的声速值、混凝土声速的平均值、标准差及离差系数分别按下列公式计算:

式中 vi——第i点混凝土声值(km/s);(https://www.daowen.com)
li——超声检测距离(mm);
ti——第i点声时值(p);
mv——混凝土声速平均值(km/s);
SV——混凝土声速的标准差(km/s);
CV——混凝土声速的离差系数;
n——测点数。
根据声速的标准差和离差系数(变异系数),可以相对比较相同测距的同类结构或各部位混凝土质量均匀性的优劣。